
hasil dari integral(2x-1) (3x ^2- 3x + 5)dx - Brainly.co.id

2 per 3x -2 - 5 per 2x +1 adalah - Brainly.co.id

diketahui f(x)=2x-1/3x+2 ; x tidak sama - 2/3 dan g(x) = 5x + 8 tentukan rumus (f x g) (x) dan - Brainly.co.id

3x - 2 / 2x + 1 ≥ 5 - Mas Dayat

2x+1÷3x-2=5/4 find x - Brainly.in

jika f(2)= 2x-1/3x-5 dan g(x)=x^2 + 6x + 9 maka (g o f) (4)= - Brainly.co.id

Ex 6.1, 16 - Solve: (2x - 1)/3 >= (3x - 2)/4 - (2 - x)/5
Jika 3x + 1/2x = 5, maka berapakah nilai dari 8x^3 + 1/27x^3? - Quora

Tentukan penyelesaian dari pertidaksamaan pecahan berikut! 3 / 2x + 1 ≥ 5 / 3x – 2 - Mas Dayat

jika h(x) = 2x-1/3x-2,maka nilai h(x-2) adalah - Brainly.co.id

Tentukan Himpunan Penyelesaian dari Persamaan (x + 1)3x+6 = (x2 + 2x + 1)2x+ 5 | kumparan.com

Expand (1+2x-3x^2)^5 - YouTube

Solved Perform the indicated operations 1. (3x-5)+(2x +1) 3. | Chegg.com
Ecuati in N X | PDF

Divide as directed. (i) 5(2x 1) (3x 5) (2x 1) r (r p) 104pa (v) x(x+ 1) 2) (x+ 3) xx 1) 5y 3) 5… - YouTube

solve for x- 2x+1/3x-2=5/9 - Brainly.in

Simplify: ((3x-4)(2x^{2}-5x+1)-(2x-1)(3x^{2}+7x-5)) | Snapsolve

Solve the equation and verify your answer: (2x+1)/(3x-2)=5/9

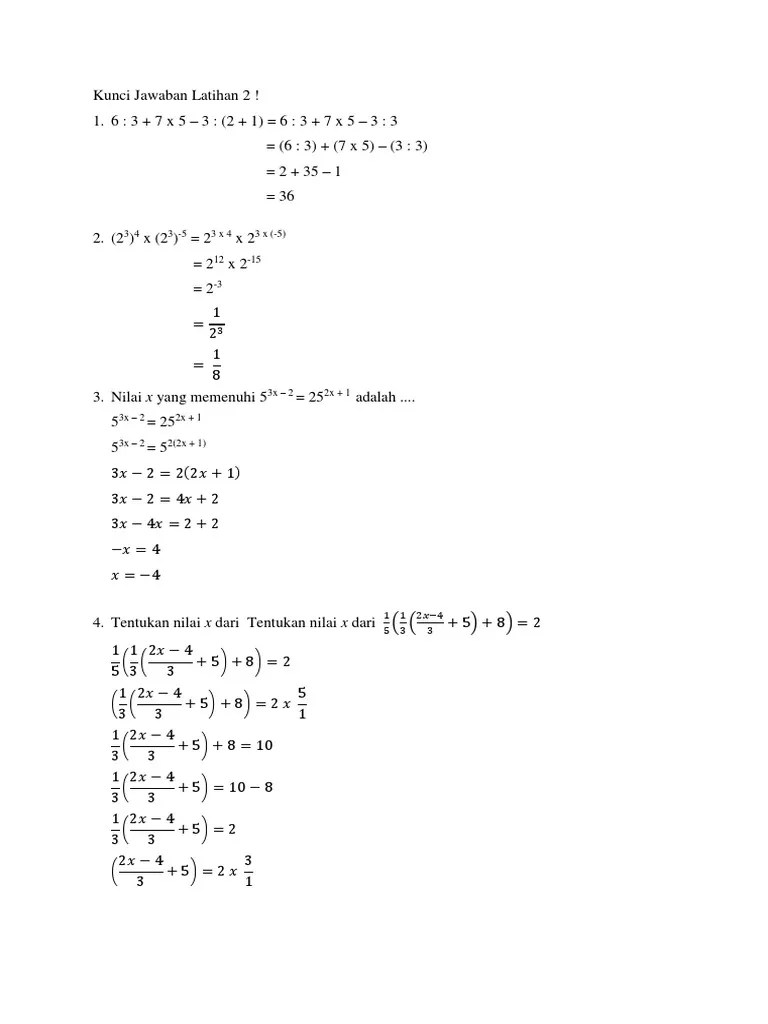
Soal Nilai x yang memenuhi 5^(3x-2)=25^(2x+1) adalah …. A. _ D. _ B. _ E. _ C. _

Solve the Given Inequality for Real X: (2x- 1)/3 >= (3x - 2)/4 - (2-x)/5 - Mathematics | Shaalaa.com
Solved -2(5x - 3)- 1 = 5(-2x + 1) 1/2(2x + 1)-1/4(8x + 2) | Chegg.com

2x2 - 3x - 3)x + 2 = (2x2 - 3x - 3)2x + 5 - Mas Dayat
Kunci Jawaban Latihan | PDF

Jual Kabel Eterna NYM NYY NYMHY NYYHY 2X1.5 2X2.5 3X1.5 3X2.5 Per Meter - NYM 3X2.5 mm - Kota Denpasar - Razzor Electric | Tokopedia
![]()
- modul turunan (diferensial) pak sukani

Solve the equation (2x-5)/(3x-1)=(2x-1)/(3x+2) - Maths - Linear Equations in One Variable - 14593105 | Meritnation.com

March | 2019 | Kalkulus I

Solve the equation and verify your answer: (2x+1)/(3x-2)=5/9" - YouTube

Ex 6.1, 16 - Solve: (2x - 1)/3 >= (3x - 2)/4 - (2 - x)/5

integral (2x+1)(3x-5)dx - Brainly.co.id

Nilai x yang memenuhi 5 pangkat 3x-2=25 pangkat 2x+1 adalah

Soal 7. lim_(x rarr1)(2x^(2)+3x+1)/(3x^(2)+5x+2)=dots A. 0,1 D. 0,4 B. 0,2 E. 0,6 C.

Tentukan turunan fungsi-fungsi berikut! a. f(x) = (x2 – 4)(x2 + 2x – 1) - Mas Dayat

Persamaan dan Pertidaksamaan Linear Satu Variabel – Zona Angka

Solved + 3 + 4x - 5 = (4x - 5) (2x + 1) “6x + 3 10x - 2 (4x | Chegg.com
![]()
Soal dan pembahasan suku banyak

TURUNAN - Turunan Fungsi Aljabar
![]()
i tentukan nilai times y… | Descubre cómo resolverlo en QANDA
Jika 3x + 1/2x = 5, maka berapakah nilai dari 8x^3 + 1/27x^3? - Quora

Poin besar! 4. sederhanakanlah.a. 3^(x + 4) . 5^(x + 1) . 15^(2x - 1)b. 63^(x + 1) . 8^(x - 1) . 24^(3x - 1)c. 5^(x + 7) . 25^(2x
Algebra Suma y Resta de Polinomios | PDF

Simplify: (3x-2)(x-1)(3x+5)

- Let f (x) = 6x + 7x solution. (2x-1)(3x+2)(x+1).
Kabel Eterna Kabel Listrik NYM Eterna 2x1.5 | 2x2.5 | 3x1.5 | 3x2.5|2x1,5 | 2x2,5 | 3x1,5 | 3x2,5 | Shopee Indonesia

Bab 2 Pertidaksamaan Oleh : Dedeh Hodiyah. - ppt download

Kabel Pvc 2x1.5 2x2.5 3x1.5 3x2.5 100% Tembaga 100meter Peran Harga - Buy Pvc Kabel,2x1.5 Kabel Pvc,3x2.5 2x1.5 Kabel Pvc Product on Alibaba.com

x - 3| + |2x + 1| = 5 - Mas Dayat

Persamaan Eksponen 5^3x-2 = 25^2x+1, maka nilai x = …? - YouTube

3 per 2x+1 ≥ 5 per 3x-2 Tentukan penyelesaian dari pertidak samaan pecahan berikut - Brainly.co.id

Jual KABEL LISTRIK ETERNA NYM (2X1.5 2X2.5 3X1.5 3X2.5) PUTIH ROLL 50 METER - 2 X 1.5 - Kab. Bekasi - SS Steelindo | Tokopedia
Solved 4. Simplify( 6x + 4)32+2-5. (1)4x4-4x 1 (2) 4r- 12x | Chegg.com

Soal lim_(x rarr oo)(6x^(3)-4x^(2)+2x-1)/(3x^(2)-2x^(2)+5x+2)=dots

Poin besar! 4. sederhanakanlah.a. 3^(x + 4) . 5^(x + 1) . 15^(2x - 1)b. 63^(x + 1) . 8^(x - 1) . 24^(3x - 1)c. 5^(x + 7) . 25^(2x
Kabel listrik NYM tembaga murni SNI meteran ukuram 2x1.5 3x1.5 2x2.5 3x2.5 | Shopee Indonesia

- Solve the following equations and verify the answer: (a) 3x – 2(1-x) = 8 (b) 4(2x-1) + 3x = 40 2x 7x 3 15 (a) } +2(47–2)=4 (e) 3(x - 2) -

第19、26、27、30求解謝謝很急- Clearnote

Panduan Ukuran Klem Kabel - Toko Listrik Global
![]()
int (2x^3 + 3x^2 + 4x + 5)/(2x +1) dx equls to : (A) x^3/2 + x^2 /2 + 3x/2 + 7/4 ln(2x+1) + C (B) 5x^3/2 + 6x/2 + 7/4 ln(2x+1) +

- modul turunan (diferensial) pak sukani

What is the quotient: (2x^3 – 13x^2 + 16x – 5) ÷ (x – 5) ? | Socratic
![]()
Tentukan 12x-51geq7 himpunan… | See how to solve it at QANDA

- Let f (x) = 6x + 7x solution. (2x-1)(3x+2)(x+1).

tentukan himpunan penyelesaian berikut menggunakan…

2x2 - 3x - 3)x + 2 = (2x2 - 3x - 3)2x + 5 - Mas Dayat
![Menentukan himpunan penyelesaian dari persamaan nilai mutlak 1. [3x + 2] = 52.[2x - 3] + 2 = 93.[2x - 1] = [x × 4]4.[2x +4] = x](https://i0.wp.com/studyassistant-id.com/tpl/images/1263/6527/a9de8.jpg)
Menentukan himpunan penyelesaian dari persamaan nilai mutlak 1. [3x + 2] = 52.[2x - 3] + 2 = 93.[2x - 1] = [x × 4]4.[2x +4] = x

Jual KABEL NYM SUPREME 3X2.5MM 50 METER- Gudang Listrik
ΑΣΚΗΣΕΙΣ ΣΤΗΝ ΠΑΡΑΓΟΝΤΟΠΟΙΗΣΗ | PDF

kelas08_matematika-konsep-dan-aplikasinya_dewi-tri by s. van selagan - issuu

F(2x-1)=6x+15 dan g(3x+1)=2x-1/3x-5 maka f–¹° g–¹(3)= - Brainly.co.id

Jual Produk Kabel Eterna Nyy Termurah dan Terlengkap Maret 2021 (Halaman 8) | Bukalapak
NYM 3x2,5 mm KITANI /1 METER | Shopee Indonesia

Soal Turunan pertama dari fungsi f(x)=(3x-2)^(5)(2x+1) adalah ….
Find the constant term of (2x^3 - 1/3x^2)^5. - Sarthaks eConnect | Largest Online Education Community

Jual Klem kabel uk 10MM/2x1,5/2x2,5/3x1,5/3x2,5 paku betok tembok dan kayu - Jakarta Barat - albasia elektrik | Tokopedia

Sell Kabel listrik Kobe NYM 2x1.5 2x2.5 2x4 2x6 2x10 3x1.5 3x2.5 3x4 3x6 3x10 4x1.5 4x2.5 4x4 4x6 4x10 | Supreme Jaya Abadi

Kabel Metal Indonesia NYM 300/500 Volt Uk 2x1.5 Mm di Kota Surabaya, Jawa Timur | Jualo.com

If 2x +1 /3x=5 then find 4x^2+1 /9x^2 - Maths - Algebraic Expressions and Identities - 16304777 | Meritnation.com

Warm Up 1. 3x 2 + 2x –x 4 + 3x 3 – 3x Add or subtract the following polynomials Solve. - ppt download

Find all the zeroes of the polynomial 3x^4 + 6x^3 - 2x^2 - 10x - 5 - MyAptitude.in
Solved Differentiate the given function. f(x) = (2x + 1)(3x | Chegg.com

Himpunan penyelesaian dari persamaan 2(3x-2)=3(x+5) adalah - YouTube

Jual Kabel listrik NYM 2x1.5 2x2.5 2x4 2x6 2x10 3x1.5 3x2.5 3x4 3x6 3x10 4x1.5 4x2.5 4x4 4x6 4x10 | Supreme Jaya Abadi

- Let f (x) = 6x + 7x solution. (2x-1)(3x+2)(x+1).

Kabel listrik NYY EXTRANA 3x2,5 mm KAWAT TEMBAGA hitam 3x2,5 mm 50 meter 1 roll | Lazada Indonesia

Diketahui f(x) = x - 5, g(x) = 2x + 1, dan h(x) = 2 - 3x. Tentukan: a. f-1(x), g-1(x), dan h-1(x) - Mas Dayat

- Selesaikan setiap pertidaksamaan di bawah ini dan tuli…

Jual Orderan Kabel Eterna NYY 3x2 5 NYM 2x1 5 Peralatan Dapur Diskon di Lapak DPurple Angel | Bukalapak

Tentukan Himpunan Penyelesaian dari Persamaan (x + 1)3x+6 = (x2 + 2x + 1)2x+ 5 | kumparan.com

kelas11_matematika-ipa_nugroho-maryanto by s. van selagan - issuu
Matematika : Ketaksamaan

Bentuk aljabar
Hitunglah nilai x yang memenuhi persamaan berikut….

1.(x+7)=2 2.(5-x) =4 3.(3x-2)=7 4.(8-5x) 3 5.(x) +(x+2)=4 6.(x-1)+(x+3)=5 7.(2x-1)+(3x-2)=3 8.(x+2)+(2x-3)=4 9.(x-2)+(5-2x) =2 10.(x+1)+(2x)
Primary Math Algebra | PDF

orderan kabel eterna nyy 3x2 5 nym 2x1 5 peralatan dapur murah - Bukalapak.com | inkuiri.com

Wolfram|Alpha Examples: Step-by-Step Solutions
Murahh Kabel eterna 2x1.5 2x2.5 3x1.5 3x2.5 / kabel NYM 2x1.5 permeter 2X2.5 3X1.5 3X2.5 | Shopee Indonesia
Selesaikan persamaan berikut dan nyatakan penyelesaiannya…

HANDOUT Materi Faktorisasi Suku Aljabar KELAS VIII SMP

2x 1 3x 5 then 4x 1 9x - Mathematics - TopperLearning.com | oqdxwxgg