
3x+4|=x-8 penyelesaian dari persamaan tersebut adalah… - Brainly.co.id

Tentukanlah himpunan penyelesaian dari |3x+4|=x-8 untuk batasan x lebih besar 4/3 dan x < (-4/3) - Brainly.co.id

3x+4|=x-8 penyelesaian dark persamaan tersebut adalah - Brainly.co.id
![himpunan penyelesaian yang memenuhi [3x+4]=x-8 adalah - Brainly.co.id](https://i3.wp.com/id-static.z-dn.net/files/da5/d4ba2c4ff89725f5cec5a9a5bfb0ef6b.jpg)
himpunan penyelesaian yang memenuhi [3x+4]=x-8 adalah - Brainly.co.id

Himpunan penyelesaian dari |3x + 4| = x - 8 - Brainly.co.id

Tentukan himpunan penyelesaian nilai |3x + 4|-x =8 - Brainly.co.id

nilai mutlak 3x+4=nilai mutlak x-8 - Brainly.co.id

himpunan penyelesaian |3x-4|≥8 - Brainly.co.id

Himpunan penyelesaian yang memenuhi pertidaksamaan |x + 8| - |3x – 4| ≥ 0 adalah … - Brainly.co.id

x+4|=3x-8jawab ya:) - Brainly.co.id

3x+4(x-2)=6x-1+8(2x+3)tolong kasih tau

3x2 - 3x - 4 ≤ 3x + 8 - Mas Dayat

Nilai mutlak dari 2x+|3x-8|=-4 - YouTube

berapakah hasil dari (3x+4)(x-6)=x(3x-8) - Brainly.co.id

Selesaikanlah pertidaksamaan nilai mutlak berikut! |3x + 7| > |4x - 8| Help kak mau dikumpul - Brainly.co.id

Soal 5. Nilai lim_(x rarr4)(3x^(2)-14 x+8)/(x^(2)-3x-4)=dots

Berapa hasil persamaan nilai mutlak dari 2x+|8-3x|=|x-4|
Solved So 4x = 16 A) 14) ?. 5x 4 2 4 25 6) A) 2 7) 4x = 8 | Chegg.com

Soal Himpunan penyelesaian dari pertidaksamaan 3x-4 <11 x-8 adalah

Nilai x yang memenuhi persamaan |x + 2| - |3x – 4| = 2 adalah - Mas Dayat
March | 2016 | ml201 | Page 13

Hitunglah nilai x 2x+|8-3x|=|x-4| Tolong dijawab yaaa" - YouTube

Ex 2.3, 6 - Solve 8x + 4 = 3 (x - 1) + 7 - Chapter 2 NCERT Maths

Soal 10. Jika f(x)=(3x-4)^(3)(6x-8), maka f^(')(x)=dots A. 8(3x-4)^(3) B. 8( 3x-4)^(2) C. 24(3x-

carilah himpunan penyelesaian (3x+4)=x-8 dengan cara mengkuadratkan kedua ruas - Brainly.co.id

Tentukan himpunan penyelesaian dari 3x-4=x-8

Objective - To solve equations with the variable in both sides. Solve. 2x + 4 = 5x x 4 = 3x = 3x 3 7 = x -5x -3x + 4 = ppt download

Soal P12 Tent. himpuran penyelesaian dan (1) |4x+2|=6 (2) |2x+3|=|x+2| (3) | 3x+4|=x-8

Solved 4. (8 points) Let x x-8 3x-4 82 (3x4) (3x-1)2 3x-1) | Chegg.com

Penyelesaian dari: a. |2x-1|=|x-3| b. 2|3x-8|=10" - YouTube
![Hitunglah [3x-8]=[-2x-4] - Brainly.co.id](https://i0.wp.com/id-static.z-dn.net/files/d64/249611ac65db0444b1012163255da221.jpg)
Hitunglah [3x-8]=[-2x-4] - Brainly.co.id

Soal 2. lim_(x rarr4)(3x^(2)-14 x+8)/(x^(2)-3x-4)=dots
The clathrate-I phase K 8 Li x Ge 44-x/4 2-3x/4 (x 8/3) is a Zintl… | Download Scientific Diagram

sir mam can u plz solve this equation 4x 8 x 8 3x 3 0 - Mathematics - TopperLearning.com | ntesivnn

Desain Rumah/Gedung Walet Ukuran 4x8 m | Petani Walet

x - 5)x2 - 2x + 8 = (x-5)2x2 - 3x - 4 - Mas Dayat

Soal Tentukan himpunan penyelesaian dari pertidaksamaan nilai mutlak berikut x+8>∣3x-4
Ecuati in N X | PDF
March | 2016 | ml201 | Page 13
![Solved] Solve for the values of x and y in the system of equations, y = 3x + 4 and the equation 2y = 4x + 8 | Course Hero](https://i3.wp.com/www.coursehero.com/qa/attachment/13011878/ )
Solved] Solve for the values of x and y in the system of equations, y = 3x + 4 and the equation 2y = 4x + 8 | Course Hero

2/3(3x-5) =4x+8 himpunan penyelesain dari 5x+7=2x+8 adalah. - Brainly.co.id

Solve - Solve inequalities with Step-by-Step Math Problem Solver

Soal Penyelesaian dari |3x+4|=x-8 adalah …

- modul turunan (diferensial) pak sukani

SISTEM BILANGAN REAL/RIIL - ppt download

Soal lim_(x rarr4)(3x^(2)-14 x+8)/(x^(2)-3x-4)

5x + 2 / 3x – 4 ≤ 2 - Mas Dayat
![himpunan penyelesaian dari [x + 8] = [3x-4]…](https://i1.wp.com/storage.googleapis.com/roboguru/image/collection/c8895996-86cb-41bd-b660-ace4b9043ca2/nadiyah.png)
himpunan penyelesaian dari [x + 8] = [3x-4]…
![]()
2 Tentukan himpunan nen… | Descubre cómo resolverlo en QANDA

6 + 4 x 8 - 3x , x=?
Using properties of determinants, solve the following for x: |(x-2,2x-3,3x-4 ),(x-4,2x-9,3x-16),(x-8,2x-27,3x-64)|=0 - Sarthaks eConnect | Largest Online Education Community

jika 2(3x - 4) + 5 = 4(2x + 3) - 5 mempunyai penyelesaian x = n, maka nialai 2n + 15 adalah - Brainly.co.id
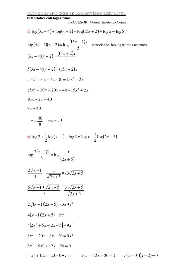
Guía de Ejercicios de Logaritmos Resueltos #2

Soal Tentukan penyelesaian dari persamaan berikut: quad3x+4(x-2)=6x-1+8 (2x+3)

Solved Evaluate f"(d) at the point. 7 3x-4 4x-3 A)f1)-7 | Chegg.com
If f (3x+4) =5x+8, what is the inverse of x, i.e. f-1(x)? - Quora
- Himpunan penyelesaian dari persamaan 3x-4=x+8 - Gauthmath

- modul turunan (diferensial) pak sukani

Soal Diketahui g(x)=(8-3x)/(4-x), maka g^(-1)(4)dots

2 |3x-8|=10 gimana caranya kak tolong jwab - YouTube

- Y - (8 -y) = 2 2. 3x/5 =3x 3. X+4 /5 = 3x 4. X+9 /2 - 2x -3 /2 = 3x+4. /4 - Brainly.co.id

Ex 9.3, 4 - Simplify 3x (4x – 5) + 3 and find its values for (i) x = 3
Latihan Soal Fungsi Nilai Mutlak - Materi Lengkap Matematika
Solved Solve 2^x = 1/8 4^x = 64 4^x = 8^x + 1 4^1 - x = 8 | Chegg.com

4-3X/8 + 2 = X-5/ 4 X = ? Ket. / = per - Brainly.co.id
perkalian jeslyn
- Himpunan penyelesaian ∣∣2−xx+1∣∣≥∣∣x+3x∣∣…

Soal ) 3) 8. Tentukan himpunan penyelesaian dari |3x+4|=|x-2|!

Solved Factor 2x2 - 4x2 + 8x 0 2x1x² - 2x+4) 0 x12x² - 4x-8) | Chegg.com

Solve each of the to 4 = 2( 4 x ) 1. 3 x EXERCISE 15A of the ? | Scholr™

Irisan pertidaksamaan -5 ≤ x ≤ 8 dan -8 ≤ x ≤ 5

Soal 87. int x(3x^(2)+2x-8)dx=dots A. 3x^(4)+4x^(3)-8x^(2)+c B. 4x^(4)+6x^(3)-12x^(2)+c C. (1)/

Solve the given equation for x. 8^(-3x - x^2) = 8^-4 - YouTube

(8.2.1) soal dan pembahasan pemfaktoran bentuk aljabar matematika slt…
Himpunan semua nilai x yang memenuhi pertidaksamaa…
![]()
1 Tentukan hasil kali sem… | Lihat cara penyelesaian di QANDA

2x earpiece Ear Speaker for Huawei Honor 3 3A 3C 3X 4 4A 4C 4X 5A
Lcd+Touchsreen Xiaomi M1/M4/M5 Redmi /2/3x/4/4x/5a/5/7/ note 3 4 5 7 8 - Aksesoris HP & Tablet - 839493441

Tentukan himpunan penyelesaian dari persamaan nilai mutlak berikut (3x-4)=x -6

Soal (1) lim_(x rarr4)=(3x^(2)-14 x+8)/(x^(2)-3x-4) =di rabarkan menjadi =
![]()
Solve for x, |[x+2,2x+3,3x+4] , [2x+3,3x+4,4x+5] , [3x+5,5x+8, 10x+17]|=0

b) Let f (x) = 2x+3, g(x) = 3x+4 and h(x) = 4x for x ∈ R.Where R is set of real numbers. Find gof, fo8, foh and goh. Answer… Discrete Structure

3 Langkah Cara Cetak Foto Ukuran 2x3 3x4 4x6 Di Ms Word Terbaru

Hitam Silikon Karet Selang 1X2 2X3 2X4 3X4 3X6 4X6 4X8 5X8 Mm Diameter Luar Fleksibel Silikon Tubei|Pipa Selang| - AliExpress

x - 5)x2 - 2x + 8 = (x-5)2x2 - 3x - 4 - Mas Dayat

Soal Penyelesaian dari |3x+4|=x-8 adalah …
XIAOMI REDMI NOTE 2 1 2s 3s 3x 4 4a 4x prime 5 5x plus 6 6x 5a 6a 7 7a 8 8a 9 9a pro case fullprint | Shopee Indonesia
Solved 6. Simplify (3x - 4)-(5x -3). (1)-2r 7 (2) -2x -1 (3) | Chegg.com

PTFE Tabung Pipa 2.5X4 3X (4 5 6) 4x (6) 5x (6 7 8) 6x (8 9 10) MM Inner * Luar PFA 3D Printer Nozzle Pakan Pipa Jet| | - AliExpress

If 3x -4, x +4 and 5x +8 are the three positive consecutive terms of a geometric progression, then find the terms.

Jual layar tancap ukuran 3x4 meter tanpa sambung - Kab. Malang - malcom22 | Tokopedia

4x8 Panel Jala Kawat Yang Dilas/jala Kawat Layar - Buy 4x8 Dilas Wire Mesh,Wire Mesh,4x8 Welded Wire Panel Product on Alibaba.com

The clathrate-I phase K 8 Li x Ge 44-x/4 2-3x/4 (x 8/3) is a Zintl… | Download Scientific Diagram

Tolong dijawab yaa 3x + 2 = 8 3x - 4 = x - 8 5p - p = -16 r + 5 = 7 5x + 3 = 2x - 9 tentukan himpunan penyelesaiannya dari persamaan

SELAMAT BELAJAR SEMOGA BERHASIL DAN SUKSES 4/28/ ppt download

Himpunan semua nilai z yang memenuhi pertidaksamaan |x+8|+|3x-4|>0 adalah Please bantu ka - Brainly.co.id

Jual layar proyektor ukuran 4 x 8 meter ada sambungnya di Lapak azizah malcom | Bukalapak

Nilai x yang memenuhi persamaan |x + 2| - |3x – 4| = 2 adalah - Mas Dayat

Soal Essay Fungsi Turunan dan Pembahasannya – Apipah.com

Rangkuman Soal dan Jawaban Belajar dari Rumah TVRI 23 Juli 2020 SMA