
Air Freshener | BROM Chemicals

Bromin - Wikipedia bahasa Indonesia, ensiklopedia bebas

Brom | Bromine (Br) : Rumus Kimia, Pembuatan, Manfaat dan Bahaya - MASTAH

Senyawa Brom

Senyawa Brom

Air brom adalah larutan brom dalam air. Daftar zat yang menghilangkan warna air brom

Sejarah Penemuan Bromin atau brom oleh Carl Jacob Löwig dan Antoine Jérôme Balard - BLOG PENEMU

Cara Membuat Air Brom di Lab Kimia - Ilmu - 2021

Cara Membedakan Antara Alkana dan Alkena - ekimia.web.id

Jual Brom di Semarang - Harga Terbaru 2021
Msds Air Brom | PDF

KARBOHIDRAT. - ppt download

Senyawa hidrokarbon yang dapat menghilangkan warna air brom adalah - Brainly.co.id

Brom (Br): Fakta, Sifat, Kegunaan & Efek Kesehatannya » Pengetahuan Umum Populer

Senyawa Brom

Cara Membuat Air Bromin & Klorin - Ilmu - 2021
![Alkena Dengan Air Bromin - [DOCX Document]](https://i1.wp.com/demo.fdokumen.com/img/378x509/reader024/reader/2021021902/5571f86649795991698d59a7/r-1.jpg)
Alkena Dengan Air Bromin - [DOCX Document]

Senyawa Brom
7 Macam Aplikasi Dan Kegunaan Brom | PDF
![]()
ALKOHOL, FENOL, ALDEHID DAN KETON - My Experience
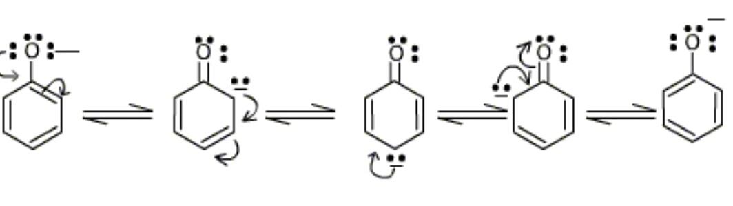
Mengapa trisubstitusi terjadi ketika fenol diperlakukan dengan air brom tetapi monosubstitusi terjadi ketika diperlakukan dengan brom dan sianida? - Quora

Senyawa Brom
Alkena Dengan Air Bromin | PDF

Kolam Renang Strip Uji Panas Bathtub Spa Air Kolam Renang 6-in-1 Strip Tes Uji Ph Bromin Gratis Klorin - Buy Air Ph Dan Chlorine Test,Kolam Renang Strip Tes,Ph Air Brom Dan Chlorine
Apa kegunaan air bromin di laboratorium? - Quora
![LAMPIRAN - media.unpad.ac.· air brom. 7) Lalu dididihkan kembali untuk menghilangkan brom yang berlebihan. - [PDF Document]](https://i1.wp.com/demo.fdokumen.com/img/378x509/reader022/reader/2020050210/5d1f4acb88c993364d8c97cc/r-2.jpg)
LAMPIRAN - media.unpad.ac.· air brom. 7) Lalu dididihkan kembali untuk menghilangkan brom yang berlebihan. - [PDF Document]

Senyawa Brom

Pembahasan Soal Pilihan Ganda OSP Kimia 2019 (Nomor 21-30) - Urip dot Info
Praktikum Kimia Anorganik 1 LAPORAN HALOGEN | PDF

brom | Properti, Kegunaan, & Fakta
![]()
Mata Air Brom dan Arsenik Thompson - Wikipedia
![]()
DOC) Fakta Singkat Brom | Mjakap Pratama - Academia.edu

PERBEDAAN ANTARA BROM DAN BROMIDA | BANDINGKAN PERBEDAAN ANTARA ISTILAH SERUPA - ILMU - 2021

Furniture Polish | BROM Chemicals

Dispenser Klorin Kolam Renang Dispenser Otomatis Tablet Klorin Brom Mengambang untuk Kolam Renang Spa Air Mancur Bak Mandi Air Panas|Kolam Renang & Perlengkapannya| - AliExpress

Brom Archives - Filter Air | Penjernih Air | Penyaring Air | Nico Filter
Alkena manakah yang tidak hilang warnanya oleh air brom? - Quora

HIDROKARBON Kelas X OLEH DIAH PURWANINGTYAS SMA NEGERI

Bromin | Halogen Sebagai Unsur Yang Stabil
![Lap AnOr - Klor Brom Iod - [DOCX Document]](https://i3.wp.com/demo.fdokumen.com/img/378x509/reader024/reader/2021021908/557213a5497959fc0b92b7b1/r-1.jpg)
Lap AnOr - Klor Brom Iod - [DOCX Document]
Kimia Organik I: A L K U N A
![]()
Senyawa Brom

OLEH EKO BUDI SUSATYO ANALISIS KUANTITATIF OLEH EKO BUDI SUSATYO ppt download

Brom, Satu-satunya Non-Logam yang Cair Halaman 1 - Kompasiana.com

Bubuk Brom Dbnpa Untuk Pengolahan Air - Buy Dbnpa Bromin,Dbnpa,Dbnpa Bromin Bubuk Product on Alibaba.com
Apa yang terjadi jika fenol dipanaskan dengan air brom? - Quora
Alkana, Alkuna, Dan Alkena | PDF

Sebanyak 1 molekul senyawahidrokarbon X bereaksi dengan 1…

5 Fakta & Informasi Menarik tentang Brom (Bromin)

ANALISIS KANDUNGAN BROM (Br) PADA AIR SUMUR GALI DI DESA KLAMPOK KABUPATEN BREBES JAWA TENGAH DENGAN METODE ANALISIS PENGAKTIFAN NEUTRON - PDF Free Download

Air brom dapat mengidentifikasi keberadaan ikatan …

Senyawa Brom
Bromin dibuat dengan mengoksidasi bromida yang ter…

KIMIA “Chemical Science”: Reaksi-reaksi Umum Senyawa Organik

Jual Brom di Semarang - Harga Terbaru 2021

KIMIA “Chemical Science”: Reaksi-reaksi Umum Senyawa Organik

reaksi Benzena dengan brom (br2) - Brainly.co.id
![]()
ANALISIS KANDUNGAN BROM (Br) PADA AIR SUMUR GALI DI DESA KLAMPOK KABUPATEN BREBES JAWA TENGAH DENGAN METODE ANALISIS PENGAKTIFAN NEUTRON

Sistematika Anion Gol I — Garam Ca tak Larut - ppt download

Perhatikan senyawa berikut! 1)C5H122)C6H123…

Jual 50 pcs 7-in-1 Pool Strip Tes Kekerasan Air Strip Tes PH Klorin Brom Kekerasan Alkalinitas Asam juinamall

Senyawa Brom

Alkana,Alkuna, Dan Alkena

Kimia, Adenosine Monophosphate, Kimia Organik, Cyclic Adenosine Monophosphate, Teori Zat, Cyclic Guanosine Monophosphate, Senyawa Kimia, Air Brom, adenosin, adenosin monofosfat, alkohol png | PNGWing

FATMA ZAHRA (fzahra): LAPORAN PRAKTIKUM KIMIA ORGANIK ”HIDROKARBON“

Cara Menggunakan Brom Di Kolam Anda 🔧🔧 Tips Untuk Perbaikan Rumah. Membuat Tangan Anda Sendiri - 2020

Senyawa Brom

Mengapa West Brom Memilih Mesin Pemanas Air Sebagai Maskot ? - YouTube
Laprak Kimor, 2. Uji Baeyer Untuk Senyawa Rangkap Dua Dan Rangkap Tiga by A1M012019 | PDF

Makalah Unsur Bromin (Br)
![]()
SENYAWA TURUNAN ALKANA 1

50 Buah/Botol 6 In 1 PH Tester Kertas Kolam Renang Strip Tes Air Asam Alkaline Gratis Klorin Brom Tester Kekerasan|Meteran PH| - AliExpress

Senyawa Brom

Air brom digunakan untuk reaksi identifikasi keberadaan i…

Tolong di jawab kak senyawa tsb mengalami reaksi… - Brainly.co.id

Menyegarkan air-brom Low Moq & New Packaging - Alibaba.com
Bagaimana air mendukung brominasi fenol? - Quora

Jual 50 pcs 14-in-1 Pool Strip Tes Kekerasan Air Strip Tes PH Klorin Brom Kekerasan Alkalinitas Cyanuric musistore

Bromin adalah unsur kimia memiliki lambang Br dan nomor atom 35

Kolam Renang Kota Mengambang Klorin dan Brom Tab Dispenser Bebek Kolam Renang Dosis Perangkat Mengambang Kotak Obat Air|Kolam Renang & Perlengkapannya| - AliExpress

Arti kata bromine water dalam kamus Inggris-Indonesia. Terjemahan dari bahasa Inggris ke bahasa Indonesia - Kamus bahasa Inggris ke bahasa Indonesia

HALOGEN Oleh : Rahmi Rachmawati Free Powerpoint Templates. - ppt download
Jual Brom di Semarang - Harga Terbaru 2021

Arti kata bromine water dalam kamus Inggris-Indonesia. Terjemahan dari bahasa Inggris ke bahasa Indonesia - Kamus bahasa Inggris ke bahasa Indonesia

Senyawa Brom

Maka warna yang terjadi jika indikator diteteskan pada air tersebut adalah..A. Metil Jingga : kuning, Phenoftalein : takberwarnaB.

CHIVE Cheap sale - Set of 5 Fake Tillandsia Artificial Faux Air Brom Plants
Jual Brom di Semarang - Harga Terbaru 2021

kimia kawan, tolong bantu - Brainly.co.id

Jadi Sorotan Warga Inggris, West Bromwich Albion Pilih ‘Manusia Pemanas Air’ Sebagai Maskot Anyar - Halaman all - Tribunnews.com Mobile
![]()
2 Jika di hadapan Anda te… | Lihat cara penyelesaian di QANDA
Pengertian Brom dan Penjelasannya

Perawatan Air Kolam Renang Kimia Kerapatan Klorin Bromin Bcdmh Biocide - Buy Bcdmh,Brom Bcdmh,Bahan Kimia Pengolahan Air Bcdmh Product on Alibaba.com

Senyawa Brom

Jual Brom di Semarang - Harga Terbaru 2021
![]()
DOC) Pembuatan Reagen | Marinus Sikon - Academia.edu
![Laporann Lengkap Bromo tri - [PDF Document]](https://i1.wp.com/static.fdokumen.com/img/1200x630/reader020/image/20191007/5571ffa449795991699dc0b5.png?t=1628374432)
Laporann Lengkap Bromo tri - [PDF Document]

Cara Membedakan Antara Alkana dan Alkena - ekimia.web.id

Alkena Dengan Air Bromin
PERCOBAAN 7 LAPORAN PRAKTIKUM KIMIA ORGANIK I REAKSI-REAKSI HIDROKARBON, ALKIL HALIDA DAN AMINA OLEH KELOMPOK 1 1. AYU IRAWATI