
Mari Mengenal DNA (Bagian 1): Apa itu DNA - SainsPop ⭐

Apa yang dimaksud dengan DNA dan RNA secara umum. Dijelaskan dan Diberi Contoh :D - Brainly.co.id

Apa itu DNA dan Bagaimana Cara Kerjanya? | KAFE KEPO |

Apa Saja Perbedaan RNA dan DNA?

Apa Itu DNA? - GIPeng

Pengertian DNA dan RNA Beserta Struktur dan Fungsinya

Apa Itu DNA dan Fungsinya Untuk Tubuh Halaman all - Kompas.com

DNA Dan RNA - Pengertian, Fungsi, Perbedaan, Struktur, Gambar

Pertanyaan dan Jawaban tentang DNA dan Dasar-Dasar Pemuliaan Pohon : Pengertian, Replikasi, dan Pewarisan Sifat - Sang Kualita

Apa Itu Cetakan DNA? - Ilmu Pertanian

Apa Sebenarnya Arti DNA? — Mimbar Rakyat

Apa yang dimaksud dengan DNA atau deoxyribonucleic acid? - Biologi - Dictio Community

Apa Itu DNA? – The Blueprint of Life - YouTube

Pengertian dan Fungsi DNA (Deoksiribo Nucleid Acid)

Isolasi DNA dan RNA dari mikroba

8+ Perbedaan DNA dan RNA Lengkap Dengan Fungsi & Tabel
![]()
Pengertian Materi Genetik DNA dan RNA (Lengkap)

apa yang dimaksud dengana.Materi genetikb.Genc.Kromosomd.DNAe.RNAbantu jawab ya ^_^ - Brainly.co.id
Pengertian,Fungsi,Struktur dan Perbedaan DNA dengan RNA

Pengertian DNA, Ciri, Fungsi, Sifat, Struktur dan Replikasi DNA (Deoxyribonucleic Acid) Terlengkap | Sekolahan.Co.Id

DNA: Pengertian, Struktur, Fungsi, dan Kelainannya

√ DNA Adalah? Pengertian ,Fungsi, Sifat, Dan Struktur | dosenpintar.com

Apa Sih Tes DNA Itu? - Tekno Liputan6.com

Pengertian Materi Genetik DNA dan RNA (Lengkap)

Pengertian DNA Secara Umum adalah - Definisi Pengertian Secara Umum Adalah

DNA dan RNA : Definisi, Struktur, Fungsi, dan Perbedaan - Jagad.id

Genom Adalah Satu Set DNA Komplit dari Makhluk Hidup, Kenali Lebih Jauh

Perdalam Materi Genetik DNA dan RNA Kalian di Sini, Yuk!

DNA Adalah - Pengertian, Fungsi, Perbedaan, Struktur Dan Letak

Pengertian DNA Beserta Fungsi, Sifat, Dan Struktur

Apa Yang Dimaksud DNA dan RNA ≡ materi sekolah – Pengayaan.com

Apa Itu Gen, Kromosom dan DNA & Bagaimana Cara Kerjanya?

Apa yang dimaksud dengan Metilasi DNA – Pengertian Apa-itu.net

Perbedaan DNA dan RNA Beserta Pengertian dan Fungsinya (+Tabel)

Mengenal DNA, Gen dan Cara Keduanya Memengaruhi Seseorang… Halaman all - Kompas.com
![]()
Gen - Wikipedia bahasa Indonesia, ensiklopedia bebas

Mengenal Perbedaan DNA dan RNA, Tambah Wawasan Anda | merdeka.com
![]()
DOC) PENGERTIAN DNA, GEN DAN KROMOSOM | Dillah Nurfadillah - Academia.edu

Biologi Kelas 12 | Mengenal Gen, DNA, dan Kromosom

Pengertian DNA Beserta Fungsi, Sifat, Dan Struktur

√ Perbedaan DNA dan RNA dalam Bentuk Tabel (Lengkap)

Apa yang dimaksud dengan DNA dan RNA – Teknik Area

Pengertian DNA, Ciri, Stuktur, Fungsi, Sifat dan Komponen

Ketahui Beragam Jenis dan Manfaat Tes DNA - Alodokter

Pengertian dan Proses Replikasi DNA - Info Pendidikan dan Biologi

apa yang dimaksud dengan dna

Pengertian dan Perbedaan DNA Dan RNA
![]()
DNA mitokondria - Wikipedia bahasa Indonesia, ensiklopedia bebas

Mengenal DNA dan RNA dalam Pewarisan Sifat - Kelas Pintar

Apa Itu Tes DNA?

5 Fungsi DNA dalam Tubuh Manusia, Berperan Sebagai Duplikasi Diri - Citizen6 Liputan6.com

RNA: Pengertian, Struktur, dan Fungsi
![]()
Dna rekombinan

Apa itu Gen: Pengertian, Fungsi, Sifat, Struktur, Proses

Apa yang dimaksud dengan RNA? - Ilmu Kedokteran - Dictio Community

BAB III SUBSTANSI GENETIK PENGERTIAN KROMOSOM GEN DNA

Pengertian DNA, Ciri, Stuktur, Fungsi, Sifat dan Komponen

Apa itu DNA sirkuler? « Penjelasan materi lengkap » Hisham.id

Apa yang dimaksud dengan Epigenetik – Pengertian Apa-itu.net

Pengertian DNA & RNA, Fungsi, Jenis, Struktur dan Perbedaan

DNA Dan RNA : Pengertian, Struktur, Dan Fungsinya Lengkap

Cara Kerja Tes DNA untuk Mengecek Garis Keturunan • Hello Sehat

Perbedaan DNA dan RNA yang Berhubungan dengan Informasi Dasar Manusia - Semua Halaman - Bobo

Pengertian gen, dna & rna

Perbedaan DNA dan RNA yang Belum Banyak Diketahui Terkait Informasi Dasar Manusia - Harapan Rakyat Online
![]()
Transkripsi (genetik) - Wikipedia bahasa Indonesia, ensiklopedia bebas

Pengertian DNA, Ciri, Stuktur, Fungsi, Sifat dan Komponen

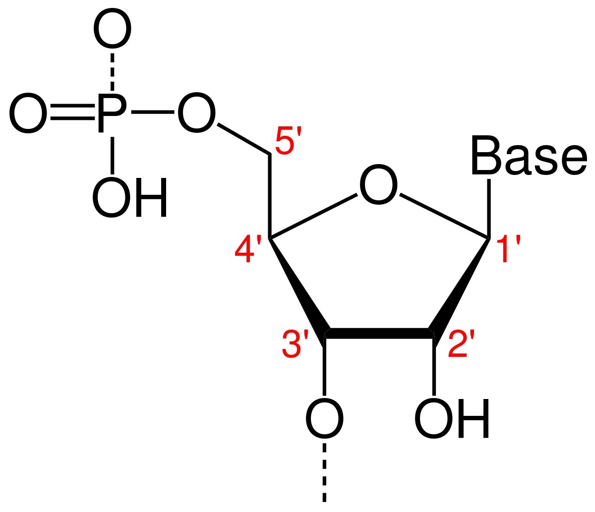
Arah Replikasi DNA: Kenapa Selalu dari 5' ke 3'? – Kedokteran – Caiherang

Mengenal DNA, Gen dan Cara Keduanya Memengaruhi Seseorang… Halaman all - Kompas.com
Apa yang dimaksud dengan barcode dna? - Quora

TEKNOLOGI DNA REKOMBINAN - ppt download

Biologi Molekuler Mikroorganisme Pendahuluan Biologi Molekuler merupakan cabang

DNA Dan RNA - Pengertian, Fungsi, Perbedaan, Struktur, Gambar

Perbedaan gen dan DNA | Konsep pentingnya – Usaha tiga dua satu

Perhatikan gambar struktur DNA berikut! Pada gambar rangkaian DNA tersebut, yang dimaksud dengan satu rangka - Mas Dayat
Apa yang dimaksud dengan ujung 5′ dan 3 DNA? - Quora

Pengertian Dari DNA — sifat dan fungsi ≡ Pengayaan.com

Struktur DNA : Pengertian, Ciri, Sifat dan Komponennya Lengkap

Perbedaan DNA dan RNA - Fungsi, Struktur, Persamaan dan Gambar

Pengertian DNA, Ciri, Stuktur, Fungsi, Sifat dan Komponen

√ Pengertian DNA RNA Gen Alel dan Kromosom Struktur Fungsi Genotipe Fenotipe - KULIAHKECHINA.COM

Pengertian DNA dan RNA, Fungsi, Struktur dan Jenisnya Terlengkap | Pelajaran Sekolah Online
DNA dan Keragaman Manusia - Historia

DNA dan RNA : Pengertian dan Struktur - Info Pendidikan dan Biologi

Genom - Wikipedia bahasa Indonesia, ensiklopedia bebas

Pengertian Materi Genetik DNA dan RNA (Lengkap)

DNA Adalah - Pengertian, Fungsi, Perbedaan, Struktur Dan Letak
![]()
Kembali pada Brand DNA Perusahaan | SLC MARKETING INC

√ RNA (Ribonucleic Acid) : Pengertian, Fungsi, Struktur, Jenis dan Proses Terbentuknya

Apa yang dimaksud dengan Translasi DNA – Pengertian Apa-itu.net
Struktur Dan Fungsi Rna Adalah - Berbagi Struktur

Pengertian, Jenis, dan Enzim DNA – Ilmu Pengetahuan Dasar

Perbedaan Antara DNA dan Kromosom - Perbedaan Antara - 2021

Mencari Tambahan Penghasilan dengan DNA Pro Akademi
Norman Dyanto (12019032) - SUMMARY MATERI 8 (DNA FINGERPRINT)

DNA Lengkap Pengertian, Struktur, Sifat, Fungsi, Gambar dan Proses Terbentuknya - MARKIJAR.Com

Pengertian dan Fungsi GEN Lengkap dengan Letak dan Sifatnya | Pelajaran Sekolah Online

DNA polimerase adalah — pengertian, jenis, karakteristik | diulas Oleh Naisha Pratiwi – Adalah.top

Biologi Kelas 12 | Mengenal Gen, DNA, dan Kromosom

Rekombinasi DNA : Pengertian, Tahapan, Prinsip, Proses & Fungsi