
Cara pembuatan larutan NaOH 0.1N sebanyak 500 ml (Ilustrasi) - YouTube

Cara Membuat Larutan NaOH 1 N dan 1 M | JAGAD KIMIA

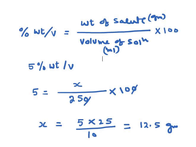
Cara membuat NaOH 10%
![]()
PDF) Pembuatan Larutan NaOH 1M | Charles Monris - Academia.edu

Membuat Larutan NaOH 40% | JAGAD KIMIA

Membuat larutan NaOH 40% sebanyak 100 ml. NaOH berbentuk padat serpihan.Sony mempunyai NaOH 98%, ia - Brainly.co.id

Cara membuat NaOH 10%

Cara Membuat Larutan Standar - ekimia.web.id

Beberapa Cara Pembuatan Natrium Hidroksida/Kaustik Soda (NaOH) - Pendidikan dan Sains

Pembuatan Natrium Hidroksida / NaOH dengan Sel Elektrolisis - Meongnium’s Blog

Beberapa Cara Pembuatan Natrium Hidroksida/Kaustik Soda (NaOH) - Pendidikan dan Sains

Membuat larutan. - ppt download

Cara Membuat Larutan NaOH 0,1 N sebanyak 1000 ml | JAGAD KIMIA

Pembuatan Natrium Hidroksida / NaOH dengan Sel Elektrolisis - Meongnium’s Blog

Bagaimana cara membuat 500 ml larutan NaOH 0,2 M ( Ar Na = 23,O = 16 ,H = 1 ) ? - Brainly.co.id

Beberapa Cara Pembuatan Natrium Hidroksida/Kaustik Soda (NaOH) - Pendidikan dan Sains

untuk membuat larutan NaOH 0.02M sebanyak 2 liter diperlukan larutan NaOH 8 % dengan massa jenis - Brainly.co.id

Untuk membuat larutan NaOH 2 m sebanyak 200 ml diperlukan larutan NaOH 8 % dengan massa jenis 1.25 - Brainly.co.id

Percobaan Kimia | Laporan Pembuatan Larutan NaOH | mofs

Cara Membuat Larutan | JAGAD KIMIA

Proses pembuatan caustic soda (NaOH) Skala Laboratorium NaOH sering disebut dengan istilah soda kaustik, dibuat dengan cara Mereaksikan logam Na dengan. - ppt download

Membuat Larutan NaOH 40% | JAGAD KIMIA
![]()
DOC) CARA MUDAH MEMBUAT REAGEN KIMIA | Ghufron fisheries - Academia.edu

hitung massa natrium hidroksida(NaOH) yang harus ditimbang untuk membuat larutan NaOH dengan pH =11 - Brainly.co.id
APENDIKS | PDF

Cara Membuat NaOH 0,1 N | Yusuf Klaten

Beberapa Cara Pembuatan Natrium Hidroksida/Kaustik Soda (NaOH) - Pendidikan dan Sains

Pembuatan larutan, pengenceran dan pencampuran larutan

Solution_Kimia Dasar

Materi Laboratorium Kimia - ppt download

Caker

STANDARISASI HCl | JAGAD KIMIA
Berapa gram yang dibutuhkan untuk membuat 500 ml N…

Preparasi Larutan

Percobaan Kimia | Laporan Pembuatan Larutan NaOH | mofs

Cara Membuat Larutan NaOH 0,1 N - YouTube
![]()
Pembuatan larutan NaOH 01 N Menghitung NaOH NaOH telah dihitung Menimbang NaOH | Course Hero
![]()
Laporan praktikum

3 Cara Membuat Sabun Tanpa Menggunakan Bahan Kimia (NaOH atau KOH) - Banaran

Penjelasan tentang sifat-sifat dari Natrium hidroksida | Sains Kimia

Pembuatan Soda Api
Bagaimana cara menyiapkan 250ml natrium hidroksida 5% - Quora
![]()
Pembuatan larutan, pengenceran dan pencampuran larutan
Membuat Larutan NaOH 40% | PDF

Pembuatan Natrium Hidroksida / NaOH dengan Sel Elektrolisis - Meongnium’s Blog

jika tersedia 10ml larutan NaoH 0,5 M . berapa volume aquades yg diperlukan untuk membuat larutan - Brainly.co.id

Pembuatan larutan, pengenceran dan pencampuran larutan
![LAMPIRAN - Universitas Udayana … 76 Lampiran 3. Pembuatan larutan 1. Larutan NaOH 0,1 N Untuk membuat - [PDF Document]](https://i0.wp.com/demo.fdokumen.com/img/378x509/reader022/reader/2020051420/5e2d5ff814ce8e54670b8b67/r-2.jpg)
LAMPIRAN - Universitas Udayana … 76 Lampiran 3. Pembuatan larutan 1. Larutan NaOH 0,1 N Untuk membuat - [PDF Document]
Cara Membuat Larutan HCL 1 N Dalam 1000 ML | PDF

Prinsip Kerja dan Pembuatan Larutan Penyangga
Cara Membuat Kaustik Soda (NaOH) Dari Kapur Tohor (CaO) /Batu Gamping - Pendidikan dan Sains
Cara Membuat Sabun Padat Dari Minyak Jelantah | PDF

PDF) Pengukuran Konsentrasi Larutan Sodium Hidroksida (NaOH) Dengan Transduser Kapasitif

Membuat larutan. - ppt download

Jawaban Berapa Mr NaOH dan Cara Menghitung Mr NaOH

Apa itu Senyawa NaOH?
Cara membuat larutan - Kimia Post
PEMBUATAN NaOH 2 | PDF

Cara Membuat Larutan NaOH 0,1 N - YouTube
![LAMPIRAN - Universitas Udayana … 76 Lampiran 3. Pembuatan larutan 1. Larutan NaOH 0,1 N Untuk membuat - [PDF Document]](https://i2.wp.com/demo.fdokumen.com/img/378x509/reader022/reader/2020051420/5e2d5ff814ce8e54670b8b67/r-1.jpg)
LAMPIRAN - Universitas Udayana … 76 Lampiran 3. Pembuatan larutan 1. Larutan NaOH 0,1 N Untuk membuat - [PDF Document]

Pembuatan larutan, pengenceran dan pencampuran larutan
Pembuatan Reagensia Kualitatif Kimia Farmasi | PDF

Proses pembuatan caustic soda (NaOH) Skala Laboratorium NaOH sering disebut dengan istilah soda kaustik, dibuat dengan cara Mereaksikan logam Na dengan. - ppt download

Cara Membuat Larutan NaOH 0,1 N - YouTube

PDF) PENGARUH KONSENTRASI NAOH TERHADAP RENDEMEN β-NAFTOL PADA PROSES PEMBUATAN -NAFTOL

Membuat larutan alkali | Diary of Soapmaker
![LAMPlRAN A - .A.S. Larutan NaOH 0,1 N Sebanyak 1000 mL NxVxBM m= n 0,lNx1Lx40g/ I = 7mo =4g 1 Ditimbang - [PDF Document]](https://i2.wp.com/demo.fdokumen.com/img/378x509/reader018/reader/2020012714/5d465a5f88c993a5648bf156/r-2.jpg)
LAMPlRAN A - .A.S. Larutan NaOH 0,1 N Sebanyak 1000 mL NxVxBM m= n 0,lNx1Lx40g/ I = 7mo =4g 1 Ditimbang - [PDF Document]

Pembuatan Sabun: Alat Bahan Metode/Cara Proses Saponifikasi 2021

Standardisasi larutan na oh dan penentuan asam cuka perdagangan
![]()
Perhitungan.docx - PERHITUNGAN 1 Pembuatan Larutan NaOH 0,2 N M= N ek M= gr mr = 0,2 1 x 1000 v gr 40 0,2 = x = 0,2 M 1000 100 gr = 0,8 gram 2 Pembuatan | Course Hero
Laporan Praktikum Pembuatan Larutan Naoh - Seputar Laporan
![]()
Cara Pembuatan Reagen

Bagaimana cara membuat larutan NaOH 0,2 M dengan menggunakan padatan NaOH dalam 500 mL - Brainly.co.id

Sabun (Soap), Pengertian Sabun, Bahan Pembuatan Sabun, Sifat dan Karakteristik Sabun, Jenis - Jenis Sabun, Manfaat dan Kegunaan Sabun. | pustakapengetahuan.com

Penjelasan tentang sifat-sifat dari Natrium hidroksida | Sains Kimia

cara membuat larutan naoh 0 1m sebanyak 100 ml - Brainly.co.id

PRAKTIKUM KIMIA DASAR MEMBUAT LARUTAN BAKU. - ppt download

Cara, Proses Pembuatan Natrium, Senyawa, Unsur Kimia

Stoikiometri - Tanya MIPI

Praktikum Kimia Analisis || Penetapan Kadar NaOH dan Na2CO3 dalam Campuran ( Cara Warder) | Diskusi | Sharing | Kimia

🔴STOIKIOMETRI🔴Untuk membuat 500 mL larutan NaOH dengan konsentrasi 0,2 M diperlukan NaOH (Ar Na = - YouTube

Cara membuat larutan NaOH 1 N dalam 300 ml

Apa itu Senyawa NaOH?

Cara Membuat Sabun Mandi Sederhana (Untuk Pemula) - Banaran
Jual Larutan NaOH / Larutan Natrium Hidroksida 500 mL - 1 Persen - Kota Bandung - ROFA Laboratorium Centre | Tokopedia

10 Kegunaan NaOH (Natrium Hidroksida) Dalam Kehidupan Sehari-hari
![]()
DOC) PEMBUATAN LARUTAN | Ismi hikmawati - Academia.edu
Cara Membuat Larutan | PDF
Larutan natrium hidroksida yang mengandung 40% berat NaOH murni memiliki berat jenis 1,5. Berapa volume larutan ini yang diperlukan untuk membuat 500 ml larutan NaOH 0,45 M? - Quora

PDF) Cara Membuat Sabun Mandi Batangan dari Bahan Herbal Alami Organik https://bit.ly/2Q1Vy3p

Minta jawaban yah. Berapa volum larutan NaOH 0,5 m yang diperlukan untuk membuat larutan NaOH 0,3 m - Brainly.co.id

Bagaimana cara menstandarisasi larutan NaOH? – chemistry

Cara Membuat Larutan NaOH 1 M sebanyak 100 ml - YouTube

JagadKimia on Twitter: “JAGAD KIMIA: Cara Membuat Larutan NaOH 0,1 N sebanyak 1000 ml https://t.co/CNWcBq5MY6"

Laporan Praktikum Pembuatan Larutan dan Pengenceran

Tutorial Menjawab Soal Tentang Jenis dan Cara Membuat Larutan Penyangga - Your Chemistry A+
Cara Membuat Larutan | PDF
![]()
Pembuatan Larutan NaCl, NaOH, ASAM ASETAT (II).docx - LAPORAN PRAKTIKUM KIMIA DASAR I PEMBUATAN LARUTAN KIMIA NaCl NaOH ASAM ASETAT OLEH GEDE EDI | Course Hero
SMA Negeri 1 Singkawang :: - Pembuatan Sabun
![]()
Cara Pembuatan Reagen