
15+ Contoh Algoritma dan Flowchart dalam Kehidupan Sehari-hari

5 Contoh Algoritma flowchart dalam kehidupan sehari-hari

15+ Contoh Algoritma dan Flowchart dalam Kehidupan Sehari-hari

Contoh-Contoh Algoritma Flowchart Dalam Kehidupan Sehari-Hari – Mamikos Info

5 Contoh Algoritma dan Flowchart Dalam Kehidupan Sehari-hari

15+ Contoh Algoritma dan Flowchart dalam Kehidupan Sehari-hari

5 Contoh Algoritma flowchart dalam kehidupan sehari-hari | Referensi Siswa | Diagram alir, Diagram, Hidup

Detail Contoh Algoritma Dan Flowchart Dalam Kehidupan Sehari Hari Berbagai Contoh

Contoh Algoritma dalam Kehidupan Sehari Hari - Jajat Blog

contoh algoritma sederhana dalam kehidupan sehari hari - Brainly.co.id

Pengertian ALGORITMA adalah: Mengenal Apa Itu Algoritma

Algoritma Percabangan Dan Misalnya Dalam Kehidupan Sehari Hari

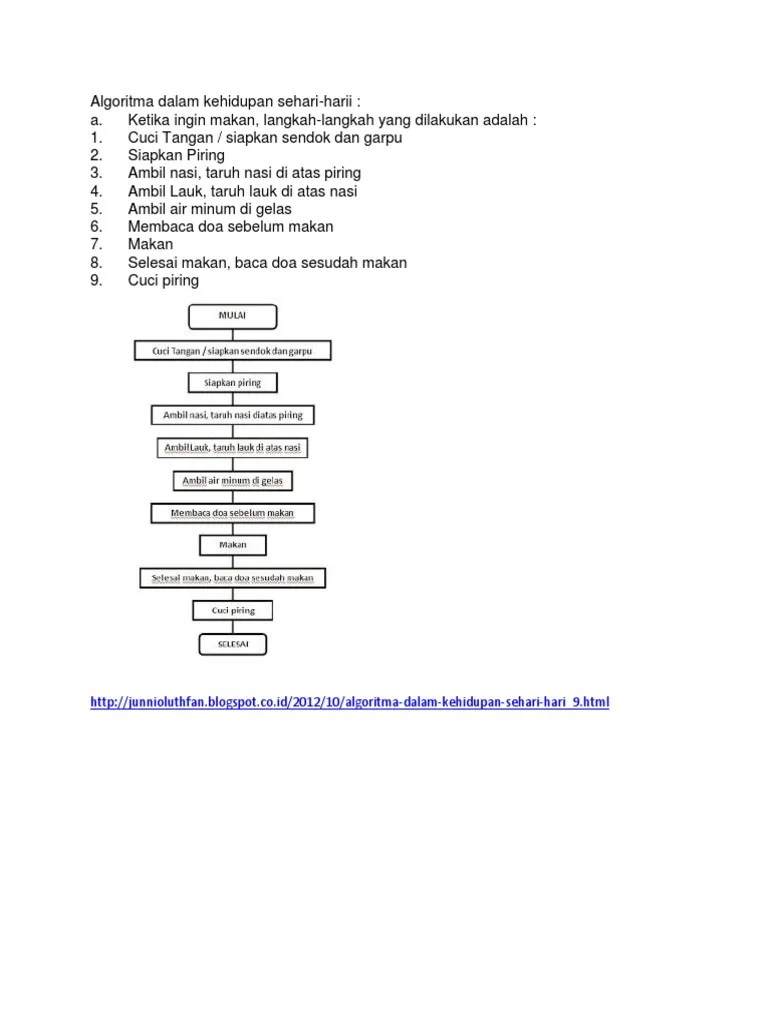
Algoritma Dalam Kehidupan Sehari

Contoh-Contoh Algoritma Flowchart Dalam Kehidupan Sehari-Hari – Mamikos Info

Mengenal Apa Itu Algoritma : Definisi, Ciri - Ciri, dan Contohnya - IDCloudHost

Contoh Algoritma Dalam Kehidupan Sehari Hari Dan Flowchartnya

Algoritma Dalam Kehidupan Sehari-Hari Dalam Bahasa Natural Dan Flowchart - Mata Pelajaran

Detail 5 Contoh Algoritma Flowchart Dalam Kehidupan Sehari Hari Referensi Siswa

Contoh-Contoh Algoritma Flowchart Dalam Kehidupan Sehari-Hari – Mamikos Info

8 Contoh Algoritma dalam Kehidupan Sehari-hari | Kelas Programmer
![Algoritma Dalam Kehidupan Sehari - [DOCX Document]](https://i1.wp.com/reader020.staticloud.net/reader020/html5/20190928/563dbb41550346aa9aab9c4e/bg4.png)
Algoritma Dalam Kehidupan Sehari - [DOCX Document]

Contoh Algoritma Dalam Kehidupan Sehari Hari – Berbagai Contoh

15+ Contoh Algoritma dan Flowchart dalam Kehidupan Sehari-hari

Contoh-Contoh Algoritma Flowchart Dalam Kehidupan Sehari-Hari – Mamikos Info

Algoritma dalam kehidupan sehari-hari dalam bahasa natural dan flowchart | Referensi Siswa
Algoritma Dalam Kehidupan Sehari | PDF
![10+ Contoh Flowchart Sederhana & Algoritmanya [+PENJELASAN]](https://i3.wp.com/www.nesabamedia.com/wp-content/uploads/2019/06/kopi.png)
10+ Contoh Flowchart Sederhana & Algoritmanya [+PENJELASAN]

Pengertian ALGORITMA adalah: Mengenal Apa Itu Algoritma

dasar-dasar algoritma

Contoh Flowchart Percabangan Dalam Kehidupan Sehari Hari – Berbagai Contoh

21 Contoh Algoritma Dan Flowchart - Badoy Studio
![10+ Contoh Flowchart Sederhana & Algoritmanya [+PENJELASAN]](https://i0.wp.com/www.nesabamedia.com/wp-content/uploads/2019/06/nilaiakhir.png)
10+ Contoh Flowchart Sederhana & Algoritmanya [+PENJELASAN]

21 Contoh Algoritma Dan Flowchart - Badoy Studio

Algoritma dan Flowchart - ppt download

Pengertian Algoritma — contoh, jenis, kegunaan, cara membuat – ApaYangDimaksud.com

Contoh algoritma dalam kehidupan sehari
Jelaskan Definisi Dari Flowchart Dan Berikan Contohnya

Algoritma membuat Nasi Goreng Lengkap Dengan Pseudocode dan Flowchart Membuat Nasi Goreng - Anak IT
Contoh Algoritma Dikehidupan Sehari | PDF

Mengenal Algoritma Pemograman - Nguprek

Contoh-Contoh Algoritma Flowchart Dalam Kehidupan Sehari-Hari – Mamikos Info
Contoh Algoritma dan Flowchart Pengertian Serta Kegunaannya

Algoritma dan Diagram Alir | Kaaeka’s Blog

- Buatlah Flowchart Berangkat Sekolah - herysucahyono

Algoritma dan Pemrograman - ppt download

contoh algorima kehidupan sehari hari mengunakan flowchart - Brainly.co.id

15+ Contoh Algoritma dan Flowchart dalam Kehidupan Sehari-hari

Algoritma: Definisi, Ciri, Jenis, Struktur dan Contohnya
5 Contoh Algoritma Flowchart Sehari Hari - HTML | PDF
![]()
ALGORITMA and PEMROGRAMAN Teori dan Prak (3)

3 Contoh Algoritma Sekuensial (Runtunan) | Kelas Programmer

Contoh algoritma dalam kehidupan sehari-hari adalah… Dan…

Contoh Flowchart Perulangan Dalam Kehidupan Sehari Hari – Berbagai Contoh

Aplikasi Generator DC pada kehidupan sehari-hari | LOOK AT HERE

ALGORITMA PEMROGRAMAN Abdul Kudus SSi MSi Ph D

Contoh-Contoh Algoritma Flowchart Dalam Kehidupan Sehari-Hari – Mamikos Info

Pengertian Algoritma Beserta,Tujuan, Fungsi, Manfaat, Sifat, Ciri Lengkap

Contoh Algoritma Sekuensial

Materi Logika dan Algoritma

Contoh Algoritma - Pengertian, Sejarah, Ciri, Jenis & Struktur

15+ Contoh Algoritma dan Flowchart dalam Kehidupan Sehari-hari
![Cara Mudah Membuat Flowchart Yang Baik dan Benar [LENGKAP]](https://i1.wp.com/i2.wp.com/sharingconten.com/wp-content/uploads/2020/01/Flowchart-Menghitung-Luas-Segitiga.jpg?resize=772%2C386)
Cara Mudah Membuat Flowchart Yang Baik dan Benar [LENGKAP]

PENGENALAN ALGORITMA DEFINISI ALGORITMA Algoritma adalah urutan langkahlangkah

Contoh Algoritma dan Flowchart Pengertian Serta Kegunaannya

5 Contoh Algoritma flowchart dalam kehidupan sehari-hari | Referensi Siswa

7 Contoh Algoritma Pemrograman Dasar untuk Latihan - DosenIT.com

Penulisan Algoritma Pemrograman Yang Benar Dan Sesuai Kaidah

Materi Logika dan Algoritma

Algoritma pemilihan (selection), apa itu? | by Mochamad Iqbal Dwi Cahyo | UNIKOM Codelabs | Medium

Algoritma: Cara Kerja, Struktur, dan Cara Penyajiannya

Contoh Algoritma Sederhana Dalam Kehidupan Sehari Hari – Berbagai Contoh

Pengertian Algoritma, Kriteria, Fungsi dan Klasifikasinya
![KONTRAK PEBELAJARAN - .4/1/2015 5 Contoh Algoritma Dalam Kehidupan Sehari- hari • Cara membuat kue • Cara memprogram perkuliahan • Cara mendaftar Tugas Akhir • Cara mengendarai - [PDF Document]](https://i1.wp.com/demo.fdokumen.com/img/378x509/reader024/reader/2021010909/5a736d9a7f8b9aac538e8b90/r-1.jpg)
KONTRAK PEBELAJARAN - .4/1/2015 5 Contoh Algoritma Dalam Kehidupan Sehari- hari • Cara membuat kue • Cara memprogram perkuliahan • Cara mendaftar Tugas Akhir • Cara mengendarai - [PDF Document]
![COLLE в Twitter: “[cm] kira kira Algoritma apa ya dalam kehidupan sehari hari? Yang punya masalah dan penyelesaian gitu ? Serius ya, aku nanti ujian matkul ini😭 Ini soal tahun lalu… https://t.co/A0jGpqCDVv”](https://i1.wp.com/pbs.twimg.com/media/EV3lVgOUMAAyOnC.jpg)
COLLE в Twitter: “[cm] kira kira Algoritma apa ya dalam kehidupan sehari hari? Yang punya masalah dan penyelesaian gitu ? Serius ya, aku nanti ujian matkul ini😭 Ini soal tahun lalu… https://t.co/A0jGpqCDVv"

Contoh algoritma percabangan

Algoritma dan Flowchart Cara Membuat Mie Instant Beserta Pseudocode

Contoh Algoritma dalam Kehidupan Sehari Hari - Erincoodi

Algoritma flowchart menghitung luas (lingkaran, segitiga, persegi panjang dan menampilkan hasilnya)

Contoh Program Algoritma Greedy - guildpotent

Algoritma : Pengertian, Sejarah, Contoh Dalam Kehidupan Sehari-hari, Algoritma Pemrograman - Webillian.Com

Algoritma 1 Pendahuluan : Contoh Algoritma Dan Penjelasan - ilmuit.id

Algoritma Membuat Secangkir Kopi Manis Lengkap Dengan Pseudocode dan Flowchart Membuat Secangkir Kopi Manis - Anak IT

Contoh Algoritma Dan Flowchart-Flip eBook Pages 1 - 5| AnyFlip | AnyFlip

Contoh Algoritma Percabangan

Logika Algoritma & Pemrograman - ppt download

- Apa Pengertian Algoritma ? 2. Apa itu Pseudocode ? 3. Apa itu Flowchart ? 4. Ada berapa macam - Brainly.co.id

15+ Contoh Algoritma dan Flowchart dalam Kehidupan Sehari-hari

Materi Logika dan Algoritma

Pengertian Algoritma Greedy | IT-Jurnal.com

Mengenal Apa Itu Algoritma : Definisi, Ciri - Ciri, dan Contohnya - IDCloudHost

Contoh Flowchart Perulangan : For, While dan Do While | Kelas Programmer

Ays Rahmadian Subhi » Blog Archive » Algoritma, Flow Chart, and Pseudo Code

2 Contoh Algoritma Insertion Sort untuk Latihan - DosenIT.com

ALGORITMA SEARCHING - ? ‚ Contohimplementasi pencarian dalam kehidupan sehari-hari: a. … Contoh a. Siapa nama mahasiswa … Algoritma Berikutini

Computational Thinking Dalam Kehidupan Sehari-hari - DEV Community

Algoritma dan Flowchart Cara Membuat Pop Mie

Jawaban Soal Buku Algoritma dan Pemrograman Komputer Rinaldo Munir – BLOG EDUKASI
![]()
ALGORITMA and PEMROGRAMAN Teori dan Prak (1)

Contoh Algoritma Dan Flowchart Dalam Kehidupan Sehari Hari – Berbagai Contoh

Struktur Dasar Algoritma dan Lengkap dengan Penjelasannya