
cos2 x + cos x = 0 untuk 0° ≤ x ≤ 360° - Mas Dayat

Solve: sin 2x - cos x = 0 - YouTube

Penyelesaian persamaan sinx+cosx=0,pada interval 0derajat《x《360 - YouTube

cos x = -1, 0° ≤ x ≤ 360° - Mas Dayat

Soal Himpunan penyelesaian dari sin 2x+cos x=0 untuk 0^(@)leqslant x leqslant360^(@) adalah …

sin 5x = cos x, 0° ≤ x ≤ 360° - Mas Dayat

Himpunan penyelesaian persamaan cos 2x + cos x = 0, untuk 0o ≤ x ≤ 180o adalah …. - YouTube

- Himpunan penyelesaian persamaan cos 2x + cos x = 0, 0° ≤ x ≤ 180° adalah …. - Brainly.co.id

Soal Tentukan himpunan penyelesaian cos 2x=-cos x,0 A. {0,(2pi)/(3),(4pi)/(3),2pi} B. {0,(pi)/(

Himpunan penyelesaian dari cos x = ½ untuk 0° ≤ x ≤ 360° adalah . . . . - Brainly.co.id

Ex 3.4, 7 - Find general solution of sin 2x + cos x = 0 - Ex 3.4

Soal Himpunan penyelesaian persamaan cos 2x+3 cos x-1=0 pada 0^(@) 360^(@) adalah ….
Himpunan penyelesaian persamaan trigonometri cos 2…

sin 7x = cos x, 0° ≤ x ≤ 360° - Mas Dayat

tentukan himpunan penyelesaian dari setiap soal berikut : - Brainly.co.id
Sin x - cos x = 1. Bagaimana cara mencari x? - Quora

Proof That (cos(x)-1)/x approaches 0 approaches 1 as x approaches 0

When cosx=0, what does x equal? | Socratic

Soal Penyelesaian persamaan sin x+cos x=0 pada interval 0^(@) adalah …

Himpunan penyelesaian persamaan : Cos 2x + cos x = 0,00≤x≤ 0 adalah…. - Brainly.co.id

Himpunan penyelesaian dari sin 3x = cos x untuk 0° ≤ x ≤ 360° - Mas Dayat

Jika 2 sin^2 x + 3 cos x = 0 untuk 0 derajat - YouTube

Math Scene - Trigonometry functions - More complicated equations and inequalities - Lesson 5
IMATH: Menyelesaikan Persamaan Trigonometri Bentuk a cos x + b sin x = C

Soal Nilai cos x-sin x>0, jika….

Jika fungsi f dinyatakan oleh f(x) = sin x + cos x untuk 00 ≤ x ≤ 3600. Tentukan titik maksimumnya! - Mas Dayat

2 sin² x + 3 cos x = 0 dan 0 derajat ≤ x ≤ 180, berapa nilai x - YouTube
Himpunan penyelesaian 8 cos 3x = 4 akar(3) untuk 0<=x<=36…

Himpunan penyelesaian dari persamaan cos² x + cos x - 2 = 0 dengan 360° >_ x _> 0° adalah - Brainly.co.id

Get out paper for notes!!!. - ppt download

Soal Jumlah semua anggota himpunan penyelesaian dari persamaan sin 2x=cos x 0^(@) adalah dots

cos x = 1 untuk 0 ≤ x ≤ 2π - Mas Dayat

cos^3(x) - cos x) = 0, solve for x - YouTube

jika 2 sin 2x + 3 cos x = 0 dan 0° ≤ x ≤ 180°maka x = - Brainly.co.id
Solved Find all solutions to the equation. cos 2x - cos x = | Chegg.com
What are general solutions for cos(x)=0? - Quora

Cos 2x - cos x = 0, 0 ≤ x ≤ 2π

limit x->0 (sin x + sin (3x))/(x cos x) = ….

Cuitan ‘Rumus Cinta’ BMKG Bikin Heboh Netizen, Ternyata Adminnya Lagi Bucin

Persamaan Trigonometri

Solving Trig Equations. - ppt download

Persamaan Trigonometri

Diketahui persamaan cos 2x - cos x = 0 , untuk 0 ≤ x ≤ 360 nilai x yang memenuhi adalah
Banyaknya nilai x yang memenuhi persamaan cos 2…

banyak x yang memenuhi persamaan sin 0,5x = cos x pada interval 0° ≤ x ≤ 360° adalah…. - YouTube

Example 9 - Prove that f(x) = cos x is (a) strictly decreasing

Soal Banyaknya solusi dari persamaan cos 3x=-cos x, dengan 0 adalah
Solved = cos 2x lim I cos x-sin x 4 X} Nieder OA - - 2 글 S | Chegg.com

2 cos X min akar 2 = 0 untuk 0 kurang dari X kurang dari 360 derajat - Brainly.co.id

Himpunan penyelesaian dari cos (x - 1/5 π) = cos ½ π untuk 0 ≤ x ≤ 2π - Mas Dayat

Nilai Akar 3 Cos X - Sin X 0 / This number has been obtained by adding the squares of the coefficients and taking their square root i.e.

Limit x Menuju Tak Hingga Fungsi Trigonometri | idschool

Proof That (cos(x)-1)/x approaches 0 approaches 1 as x approaches 0
What will be the value of ,limit x–>0 (1-cosx) /x^2? - Quora
![Property of the function f (x) = sin(x) 3 + cos(x) 3 , for x ∈ [0, π] . | Download Scientific Diagram](https://i2.wp.com/www.researchgate.net/profile/Lixin-Shen/publication/301872676/figure/fig3/AS:667645607161881@1536190525992/Property-of-the-function-f-x-sinx-3-cosx-3-for-x-0-p.png)
Property of the function f (x) = sin(x) 3 + cos(x) 3 , for x ∈ [0, π] . | Download Scientific Diagram

Math Scene - Trigonometry functions - More complicated equations and inequalities - Lesson 5

1 Setelah menyaksikan tayangan ini anda dapat Menyelesaikan
Menyelesaikan Persamaan Trigonometri

lim_(x->0)(cos7x-cos9x)/(cosx-cos5x)

cos x – GeoGebra
Himpunan penyelesaian persamaan cos 2x + cos x = 0…

Diketahui sin x = 8/10 , 0 < x < 90 Nilai cos 3x + cos x =

Himpunan penyelesaian dari sin 3x = cos x, x diantara 0 dan 360 derajat - YouTube
![How do you solve 2sinxcosx+sinx=0 in the interval [0,360]? | Socratic](https://i2.wp.com/useruploads.socratic.org/gtfHwvwtS661s5PjZIpW_trig.jpeg)
How do you solve 2sinxcosx+sinx=0 in the interval [0,360]? | Socratic

Misc 9 - cos x = -1/3, find sin x/2 , cos x/2 and tan x/2

Soal Jika tan x-3sin^(2)x=0 maka nilai sin x cos x adalah

reducing $\cos{x} + 2\sin{x}$ to $R\cos{x - a}$ finds strange phase-shift - Mathematics Stack Exchange

limit x mendekati 0 (sin x cos x)/(tan x) - Brainly.co.id

Rumus Dan Contoh Soal Turunan Fungsi Trigonometri Lengkap

cos (x – 1/3 π) = cos ½ π, 0 ≤ x ≤ 2π - Mas Dayat
![Draw the graph of y = [cos x], x in [0, 2pi], where [*] represents the greatest integer function.](https://i3.wp.com/d10lpgp6xz60nq.cloudfront.net/physics_images/CEN_GRA_C03_E01_007_S01.png)
Draw the graph of y = [cos x], x in [0, 2pi], where [*] represents the greatest integer function.

Solve Cos^2x+sinx+1=0

Answered: Solve sin2x + cosx = 0 for O < x < 2π. | bartleby

Himpunan penyelesaian pertidaksamaan cos 2x - cos x > 0 untuk 0⁰ ≤ x ≤ 360⁰ adalah
Solved = cos 2x lim I cos x-sin x 4 X} Nieder OA - - 2 글 S | Chegg.com

Inverse Trig Functions. If cos (x) = 0 then what is x? - ppt download

Pembuktian Turunan cos x dan sec x
Contoh Soal Penerapan turunan fungsi trigonometri untuk menentukan titik Stasioner | ezy blog
Modul 3 | PDF
Evaluate the limit: limx → 0 (cos x)^1/sin x - Sarthaks eConnect | Largest Online Education Community

MARETONG: Soal dan Pembahasan Limit Fungsi Trigonometri
UN 2017 Himpunan penyelesaian persamaan cos 2x = - cos x untuk 0 ≤ x ≤ 2π adalah … A. {π/3, π, 5π/3} B. {2π/3, π
![]()
SOAL MATEMATIKA SMA KELAS X SEMESTER 2 1 (6)

show that 1 cos x 3 2 1 cos x 1 2 8203 sin x 1 cos x - Mathematics - TopperLearning.com | lr06xc66

Cos x maggiore di 0
Evaluate the following limits : lim(x→0) (x tan x)/(1 - cos x) - Sarthaks eConnect | Largest Online Education Community

Solve equation $ \cos x+\sin x=0$ - Mathematics Stack Exchange

Identitas Trigonometri - Sudut Istimewa, Sifat, Rumus Dan Contoh

Sin 3x= cosx, 0 ≤ x ≤ π Himpunan penyelesaian dari persamaan tersebut adalah. - YouTube

120 soal dan pembahasan limit fungsi trigonometri

Himpunan penyelesaian persamaan cos2x+cosx=0, untu…

Diketahui persamaan cos 2x+cos x, untuk 0<x<=pi, nilai x …

Soal Dari persamaan cos 3x+cos x-sin 4x-0 untuk 0^(@) , maka nilai x yang memenuhi adalah …

Ex 13.1, 17 - Evaluate: lim x->0 cos2x - 1 / cosx - 1 - Ex 13.1 (Term

Transitions from sin( x ) to sinh( x ), and from cos( x ) to cosh( x )… | Download Scientific Diagram

the value of lim n rarr infin cos x 2 cos x 4 cos x 8 cos x 2n is a x sinx cedil b x cosx cedil c sinx x cedil
Nghiệm của các phương trình lượng giác đặc biệt - Toán Học Việt Nam

If sqrt(sinx) + cosx = 0, the what is the value of sinx? | Socratic

Cos Graph (solutions, examples, videos)
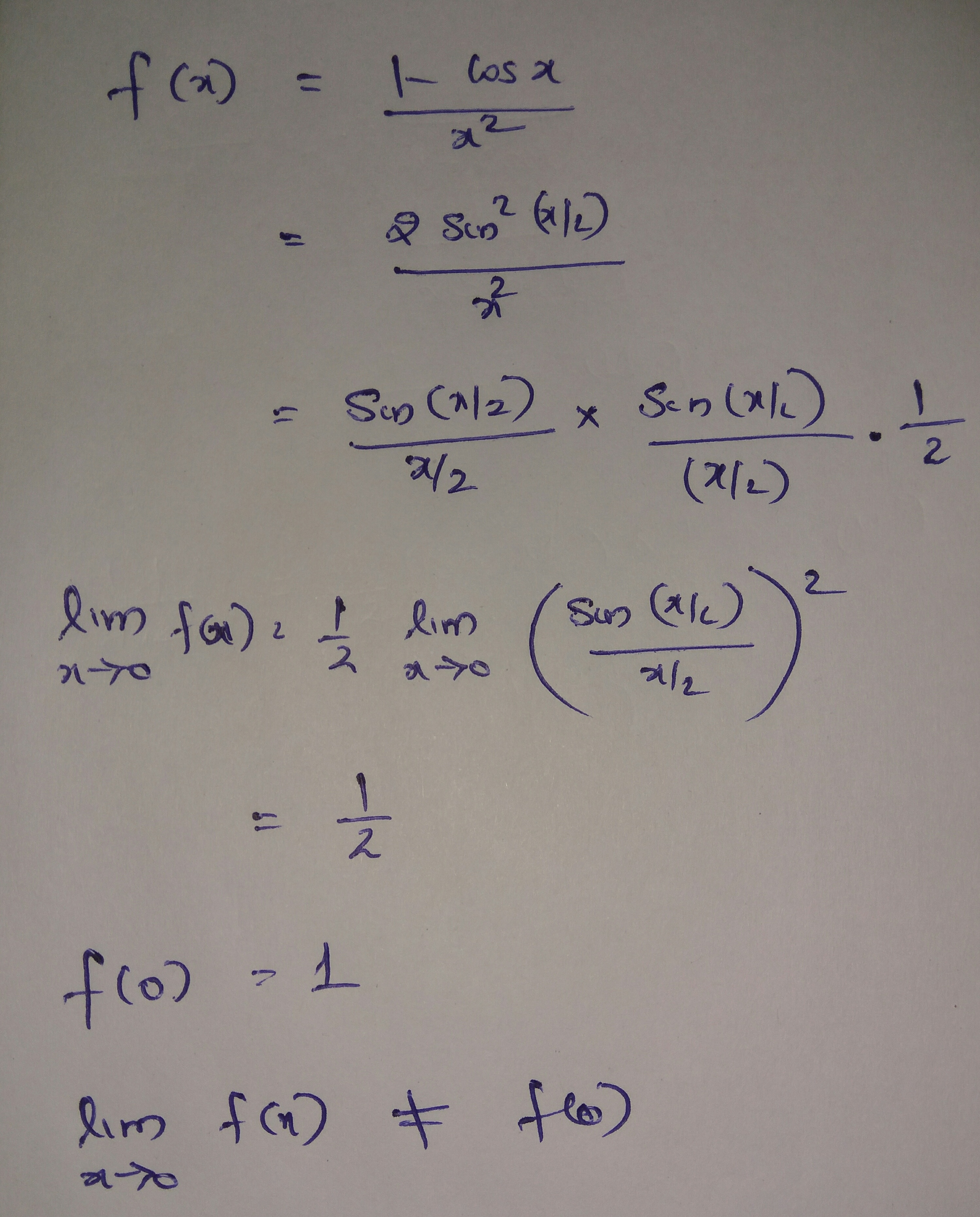
Bagaimana cara menguji kontinuitas fungsi pada x=0 di mana f(x) =1-cosx/x^2, di mana x tidak = 0 dan f(x) =1, di mana x=0 - Quora