
√ Elemen Matriks: Ordo, Identitas, Jenis, Transpose, Determinan, Invers

Elemen Matriks | Matematika SMA - YouTube

MATRIKS - Pengertian, Elemen, Jenis, Ordo dan Kesamaan Matriks - YouTube

Matematika: MATRIKS

Konsep Matriks: Notasi, Elemen, Baris, Kolom dan Ordo

Pengertian Tentang Matriks Operasi-Operasi Matriks - ppt download

MUDAH !! ELEMEN ELEMEN DIAGONAL UTAMA MATRIK !! / Master Fernando - YouTube

Konsep Matriks: Notasi, Elemen, Baris, Kolom dan Ordo

matriks

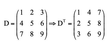
Pengertian Matriks, Ordo, Identitas, Jenis, dan Transpose Matriks

Tentukan:a. ordo matriks Bb. elemen-elemen baris pertama. c. elemen pada baris ke 3 dan kolom ke - Brainly.co.id
Jenis Matriks Berdasarkan Ordo dan Elemen-Elemen Matriks - Horison Pengetahuan

PEMROGRAMAN KOMPUTER OPERASI MATRIKS Persamaan Linear Salah satu

Cara Menghitung Rumus Matriks Matematika

KONSEPSI MATRIKS – Materi Kuliah Program Studi Sistem Informasi

a. Tentukan ordo matriks tersebut ! b. Sebutkan elemen pada baris ke-1 ! c. - Brainly.co.id

Konsep Vektor dan Matriks - ppt download

Matriks – Pengertian, Operasi, Determinan, Invers, dan Contoh Soal - Aku Pintar

Diketahui matriks A A=⎝⎛21286410053197⎠⎞ T…
![]()
Matriks (matematika) - Wikipedia bahasa Indonesia, ensiklopedia bebas
Pengenalan Matriks ~ Konsep Matematika (KoMa)

SMK NEGERI 4 SURAKARTA (RSBI) - ppt download

MATRIKS - Pengertian, Elemen, Jenis, Ordo dan Kesamaan Matriks - YouTube

Matriks dan Vektor – DaffaAY’s Blog

Cara Mencari Determinan dan Invers Matriks | Matematika Kelas 11

Matriks

Mengenal Matriks: Pengertian, Jenis, dan Transpose | Matematika Kelas 11

Elemen-elemen matriks A=(-1 -9 3 0 4 7 -2 5 7) yang berni…

Cara Mencari Nilai x dan y pada Matriks | idschool

MARETONG: Pengertian Matriks, Ordo, Notasi, dan Jenis-jenis Matriks
![Soal Hitunglah jumlah semua elemen matriks persegi berikut. d. ([1^(2),2^(2),3^(2)],4^(2),5^(2
Soal Hitunglah jumlah semua elemen matriks persegi berikut. d. ([1^(2),2^(2),3^(2)],[4^(2),5^(2

Matriks Math
![Soal Diketahui matriks A=[[1,5,-2],[0,8,11],[17,6,3],[-9,12,7]] a. Sebutkan elemen matriks yang](https://i1.wp.com/zs-inline.s3.ap-southeast-1.amazonaws.com/production/6/78/1a3c/6781a3cb92b34480a91ad70a854fdcf6.png?efs=https%3A%2F%2Fwww.zenius.net%2Fassets%2Fv-img%2F6%2F78%2F1a3c%2F6781a3cb92b34480a91ad70a854fdcf6.png)
Soal Diketahui matriks A=[[1,5,-2],[0,8,11],[17,6,3],[-9,12,7]] a. Sebutkan elemen matriks yang
Elemen-elemen matriks A=(-1 -9 3 0 4 7 -2 5 7) yang berni…

Matriks – Pengertian, Operasi, Determinan, Invers, dan Contoh Soal - Aku Pintar

Jenis dan operasi matriks
MATRIKS Perkenalan | PDF

Definisi Matriks, Elemen Dan Ordo Matriks - Tak Ada Dikotomi

Berdasarkan matriks tersebut, tentukanlah Banyak baris Banyak kolom Ordo matriks Elemen-elemen pada baris ke-2 Elemen-elemen pada
![Soal Jumlah elemen-elemen diagonal utama matriks P=([9,-2,1],[3,0,7],[2,-1,-4]) adalah …..](https://i3.wp.com/zs-inline.s3.ap-southeast-1.amazonaws.com/production/9/15/7a6a/9157a6ad8c2e42fe9e1fad1577da29c4.jpg?efs=https%3A%2F%2Fwww.zenius.net%2Fassets%2Fv-img%2F9%2F15%2F7a6a%2F9157a6ad8c2e42fe9e1fad1577da29c4.jpg)
Soal Jumlah elemen-elemen diagonal utama matriks P=([9,-2,1],[3,0,7],[2,-1,-4]) adalah …..

Pembahasan Soal - Operasi Elemen pada MATRIKS + Latihan Soal - YouTube
Matriks | PDF

Kesamaan, Penjumlahan, dan Pengurangan Matriks | Pendidikan Matematika

MATRIKS DAFTAR SLIDE Pengantar JenisJenis Matriks Operasi Matriks
Elemen-elemen matriks A=(-1 -9 3 0 4 7 -2 5 7) yang berni…
Mengenal Matriks - Materi Lengkap Matematika

MATRIKS - Pengertian, Elemen, Jenis, Ordo dan Kesamaan Matriks - YouTube

Mengenal Matriks: Pengertian, Jenis, dan Transpose | Matematika Kelas 11

Jumlah elemen-elemen diagonal samping matriks M adalah 13, tentukan nilai a. - Brainly.co.id

Matrik (Al-Jabar) – PSPM

Contoh Soal Matriks | dosenpintar.com

Matriks Pengertian Tentang Matriks OperasiOperasi Matriks Putaran Matriks

Aljabar Linear Elementer I - ppt download
Matriks. Matriks adalah kumpulan bilangan… | by Dian Prima Trendi Siburian | Medium

MATRIKS LANJUTAN 1 (Tugas 10): 2019

Pengertian dan Jenis-jenis Matriks | idschool

tentukan:a. ordo matriks Ab. elemen-elemen pada kolom keduac. jumlah elemen- elemen pada baris - Brainly.co.id

Array Dua Dimensi Jurusan Teknik Informatika Universitas Ahmad
![Contoh Array 2 Dimensi Inisialisasi, input keyboard, Input Elemen, Matriks, Penjumlahan Matriks Bahasa C++ [informatika 2] ~ Coding IsmyNR - Cara Dan Contoh Pemrograman](https://i1.wp.com/2.bp.blogspot.com/-bs_XCG-kCQs/WpoRzwzv7_I/AAAAAAAAAq8/73JvRSA-31I70WMR7gZekzEwO4_Uf9wpACLcBGAs/s1600/22.png)
Contoh Array 2 Dimensi Inisialisasi, input keyboard, Input Elemen, Matriks, Penjumlahan Matriks Bahasa C++ [informatika 2] ~ Coding IsmyNR - Cara Dan Contoh Pemrograman
![RENCANA PELAKSANAAN PEMBELAJARAN - .Web viewAngka 8 dalam lingkaran menunjukkan elemen matriks A - [DOC Document]](https://i0.wp.com/demo.fdokumen.com/img/378x509/reader018/reader/2020012610/5c8a29c909d3f2ac578c4a96/r-1.jpg)
RENCANA PELAKSANAAN PEMBELAJARAN - .Web viewAngka 8 dalam lingkaran menunjukkan elemen matriks A - [DOC Document]
![]()
Page 27 - modul komputasi mat

jumlah semua elemen matriks a adalah

Matriks - Perkalian, Determinan, Invers, Rumus & Contoh Soal

Matriks – Operasi Matriks, Rumus, Contoh Soal Matriks dan Jawabannya Lengkap | Pelajaran Sekolah Online

31+ Contoh Soal Elemen Matriks Dan Jawabannya - Kumpulan Contoh Soal
Materi 2 - Matrik, Determiinan, Dan SPL | PDF

MATRIKSMATRIKS. IndikatorIndikator Menentukan konsep matriks sebagai representasi numerik dalam kaitannya dengan konteks nyata. Menentukan jenis-jenis. - ppt download

a. Tentukan ordo matriks tersebut ! b. Sebutkan elemen pada baris ke-1 ! c. - Brainly.co.id

Mengenal Matriks: Pengertian, Jenis, dan Transpose | Matematika Kelas 11
![Soal Jika A matriks berordo 2xx2dan A+A^(t)=([2,3],[3,5]), maka tentukan jumlah semua elemen ma](https://i0.wp.com/zs-inline.s3.ap-southeast-1.amazonaws.com/production/e/cb/1b99/ecb1b99055fe4502a9e7554106f8ec46.jpg?efs=https%3A%2F%2Fwww.zenius.net%2Fassets%2Fv-img%2Fe%2Fcb%2F1b99%2Fecb1b99055fe4502a9e7554106f8ec46.jpg)
Soal Jika A matriks berordo 2xx2dan A+A^(t)=([2,3],[3,5]), maka tentukan jumlah semua elemen ma

Diketahui matriks A=(-10 12 0 24 20 -30 15 10 -14 10 1 0 …

1.Diketahui Matriks A= 1 5 -2 0 8 11 17 6 3 -9 12 7A. sebutkan elemen matriks Yang Terletak pada1) Baris Ke-1;2)baris Ke-2;3)Baris

Minor, Kofaktor, Matrik Kofaktor dan Adjoin Matrik - Harianja Uniks

Mengenal Matriks

Kelas xii bab 3
![]()
DOC) Matriks | Lian Leo - Academia.edu

ALJABAR LINIER DAN MATRIKS 1 ALJABAR LINIER MATRIKS

MATRIKS LANJUTAN 1 (Tugas 10): Matriks lanjutan 1
MATRIKS

ALJABAR LINIER (MATRIKS) - ppt download
![]()
MATRIKS Tentukan ordo matriks tersebut! . Disebut jenis matriks apakah matriks F tersebut!
MATRIKS
![Contoh Soal Matriks dan Jawabannya Kelas 11 [+ Cara dan Pembahasan] - Primalangga](https://i0.wp.com/1.bp.blogspot.com/-4zTSCys5iYY/XoFVJOUwzqI/AAAAAAAAG0M/5pogTps9HxU-GhIuEomf1dMtw8tTod4DQCLcBGAsYHQ/s1600/16.png)
Contoh Soal Matriks dan Jawabannya Kelas 11 [+ Cara dan Pembahasan] - Primalangga
Pendekatan Pemecahan Masalah Matematika pada Materi Matriks
MATRIKS | PDF

1.Mengapa bentuk di atas dinamakan matriks 2. Apa notasi matriks di atas 3. Ada berapa baris. 4. Ada berapa kolom 5. Berapa ordo matriks

Mengenal Matriks: Pengertian, Jenis, dan Transpose | Matematika Kelas 11

MATRIKS | Alfia Anggraeni

Contoh Soal Matriks, Pengertian, Jenis-jenis, Sifat Operasi, Invers, Jawaban, Notasi dan Ordo, Penjumlahan, Pengurangan, Perkalian, Transpose, Skalar, Determinan, Matematika

Menentukan Elemen-elemen pada Matriks B Jika Diketahui Invers Matriks A - YouTube

Selamat Datang Dalam Kuliah Terbuka Ini 1 Kuliah

Soal Diketahui matriks _ Tentukan elemen baris ketiga kolom ketiga.

Matriks entri elemen unsur - 2 0 0 1 5 0 3 2 4 … Jika A dan B adalah sembarang dua matriks yang ukurannya

LANJUTAN MATRIKS Oleh : KELOMPOK 2 : - ERNAWATI EVI NOVIANTI AGISIANA RIANI AUGUSTIA RIFNA. - ppt download
![]()
Sistem Persamaan Linier Dan Matriks - Repository UNIKOM
![Matriks entri elemen unsur - CORE .•Contoh 1 1 2 9 2 4 3 1 3 6 5 … T ªº ªº«» … Rank (Pangkat) - [PDF Document]](https://i3.wp.com/demo.fdokumen.com/img/378x509/reader018/reader/2020030112/5c7efe5e09d3f2aa3f8bfeb0/r-2.jpg)
Matriks entri elemen unsur - CORE .•Contoh 1 1 2 9 2 4 3 1 3 6 5 … T ªº ªº«» … Rank (Pangkat) - [PDF Document]

Jumlah semua elemen pada diagonal utama dari matriks diatas adalah…bantu yaa:) - Brainly.co.id
MATRIKS

PPT Matriks
Operasi Hitung pada Matriks ~ Konsep Matematika (KoMa)