
hasil dari integral x√x dx adalah? - Brainly.co.id

- hasil dari integral x / 3 akar x dx = - Brainly.co.id

Selesaikan integral berikut √x dx - YouTube

Hasil dari integral x.akar x dx = - YouTube

Hasil dari integral x(1-2x)pangkat 3 dx adalah…… - Brainly.co.id

hasil integral x (x-1)^2/akar x dx=… - Brainly.co.id

Hasil ∫ x(x – 1)2/√x dx = - Mas Dayat
![]()
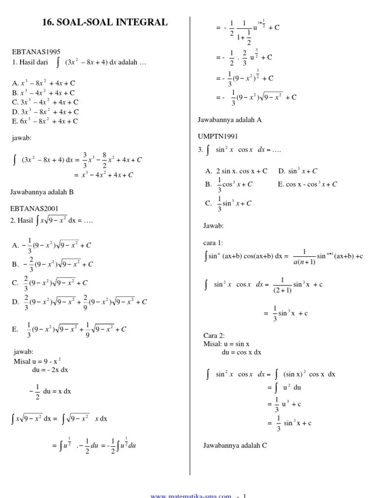
DOC) SOAL-SOAL INTEGRAL | Ayu Puspa - Academia.edu
Apa integral dari 1/x dx? - Quora
Soal-Soal Integral | PDF

Tentukan hasil dari Integral x pangkat 2 per x akar x dx

hasil dari integral x/4√x dx =jawab dengan cara yaa - Brainly.co.id

Contoh Soal Integral Tak Tentu

Integral 6x (X + 2) pangkat 5 dx adalah - YouTube

Soal Integral Tak Tentu: Menentukan Anti Turunan Sederhana

Contoh soal integral tak tentu dan penyelesaiannya + pembahasan – Soalfismat.com

Hasil dari ∫ x√x(1 + x2) dx = …. - Mas Dayat
28++ Contoh Soal Integral Parsial Brainly - Kumpulan Contoh Soal

Remidi matematika Bab Integral
Soal-Soal Integral | PDF

Soal Jika diketahui F(x) merupakan hasil dari integral int(z^(3)-3z^(2)+z-3)dx dan F(0)=5. Maka

Tentukan Hasil Integral Berikut 28E2889Ax-3x5E229 Dx - ukfasr

Hasil Dari Integral X^2 Sin 2x Dx

Soal 125 Integral Tak Tentu dan Tentu | Soal-Jawab Matematika

Soal Hasil integral dari (6x)/(sqrt(x^(2)+9))dx=dots

√ Contoh Soal Integral Tentu, Tak tentu, & Parsial

INTEGRAL FUNGSI RASIONAL” - ppt download

Hasil Dari Integral (x^2+1) Cos X Dx

Hasil dari integral 0 sampai 2 3(x+1) (x-6) dx - YouTube

√ Integral: Integral Tentu, Tak Tentu, Substitusi, Parsial, Trigonometri, Soal

Integral Substitusi & Integral Parsial - Materi, Rumus, Contoh Soal

Hasil dari integral x+1 per akar x dx adalah

Rumus Integral Matematika

hasil dari integral x akar 1 +x dx adalah - Brainly.co.id

Integral - Matematika Kelas 11 - Rumus, Jenis & Soal - Quipper Blog

MARETONG: Soal dan Pembahasan Integral Fungsi Aljabar
Soal 125 Integral Tak Tentu dan Tentu | Soal-Jawab Matematika

Hasil dari ∫ (x2 – x√x) dx adalah - Mas Dayat

√ Contoh Soal Integral Tentu, Tak tentu, & Parsial

Contoh Soal dan Pembahasan Integral Parsial - Tanya Soal

Excellent: Menentukan nilai Integral dari cos^3 x

√ Integral: Integral Tentu, Tak Tentu, Substitusi, Parsial, Trigonometri, Soal

Remidi matematika Bab Integral
INTEGRAL ANTIDIFERENSIAL - belajarmeyenangkan

50 Soal Dan Jawaban Integral Parsial - Kumpulan Contoh Surat dan Soal Terlengkap
![]()
DOC) Matematika Integral | Arifani Arifani - Academia.edu

60+ Soal dan Pembahasan Matematika Dasar SMA Integral Tak tentu dan Tentu Fungsi Aljabar | defantri.com

Integral Tak Tentu : Pengertian, Rumus, Sifat dan Cont

Contoh soal dan cara penyelesaian integral tak tentu dengan mudah - Cara Vector - Tutorial Vector dan design

PENGERTIAN DAN RUMUS DASAR UNTUK INTEGRAL TAK TENTU

Soal Carilah hasil dari: Integral x^(2)(x-7)^(6)dx Dengan metode tabel/tanzalin.
Soal Integral | PDF

Tercepat Integral X Pangkat 2 Sin 2x Dx

Hasil Dari Integral X^2 Sin X Dx Adalah

Rumus Integral Trigonometri - RumusHitung.Com

Hasil dari integral x+1/√x DX adalah
Integral Tentu: Contoh Soal dan Pambahasan

Hasil dari integral x - (2/x²) dx - Brainly.co.id

Soal dan Pembahasan - Teknik Substitusi Trigonometri pada Integral - Mathcyber1997

√ Contoh Soal Integral Tentu, Tak tentu, & Parsial

integral tentu dari (x2 - 1/x2) dx - YouTube

Matematika SMA: Cara Menghitung Nilai Integral Fungsi Nilai Mutlak | defantri.com

Remidi matematika Bab Integral

Contoh Soal Dan Pembahasan Integral Parsial - Kumpulan Contoh Surat dan Soal Terlengkap

Hitunglah integral dari 2/akar x! - Matematika SMA

Contoh Soal Integral Tentu, Tak Tentu, Substitusi, Parsial, Trigonometri
![]()
Tercepat Integral X Pangkat 2 Sin 2x Dx

Rumus Integral Substitusi & Contoh Soal Beserta Pembahasannya

Hasil dari integral x^-4 (x+5)² dx hasil dari integral (4x^

Contoh Soal Integral tentu dan Penyelesaiannya + jawaban – Soalfismat.com

Integral Tentu & Penggunaan Integral: Materi, Rumus, Contoh Soal
![]()
2 Hasil darif(4x3x5)dx ad… | Lihat cara penyelesaian di QANDA

Integral: Pembahasan Serta Contoh Soal - Tambah Pinter

Integral Tak Tentu : Pengertian, Rumus, Sifat dan Cont

Contoh Soal Integral Tentu, Tak Tentu, Substitusi, Parsial

- Akar akar persamaan kuadrat 2x² - 3x -1 = 0 adalah x1 dan x2. Persamaan kuadrat baru yang akar akarnya satu lebih kecil dari dua kali akar akar persamaan kuadrat di atas adalah …….. A. x² - x - 4 = 0 B. x² + 5x - 4 = 0 C. x² - x + 4 = 0 D. x² + x + 4 = 0 E. x² …

∫ (x√x + 1/x)2 dx - Mas Dayat

Integral Parsial - Matematika G12 - Quipper Blog

√ Integral Tentu: Penjelasan, Rumus, Contoh Soal beserta Pembahasannya …

BAB 4. INTEGRAL LIPAT DUA - Blog
Hitunglah hasil dari integral tentu berikut ini: …

Contoh Soal Integral Tentu, Tak Tentu, Substitusi, Parsial, Trigonometri

Contoh Soal Integral Tak Tentu Bentuk Akar – Rasanya

Rumus Integral Substitusi & Contoh Soal Beserta Pembahasannya
![]()
PDF) 16. Soal-soal Integral | Wiranegara Muhammad - Academia.edu

Tentukan hasil dari integral x(x-3)dx

Hasil Dari Integral (x^2+1) Cos X Dx
Hasil dari integral x^2 (√x - 1/x + 2 ) dx adalah…. Question from @risyakusnaputr
Integral Tentu: Contoh Soal dan Pambahasan

Soal dan Pembahasan Integral Metode Substitusi Trigonometri (1-3) | Istana Mengajar

Integral: Rumus, Sifat, Tak Tentu, Tentu, Contoh Soal - Edura Blog
Rumus Integral Tak Tentu Dan Contoh Soal Integral Tak Tentu
![CONTOH SOAL UAN – INTEGRAL .CONTOH SOAL UAN – INTEGRAL © Aidia Propitious 1 … dan garis x = 4 diputar 3600 terhadap sumbu x adalah … PEMBAHASAN: 1 - [PDF Document]](https://i1.wp.com/demo.dokumen.tech/img/378x509/reader024/reader/2021022111/5a76d2407f8b9aa3688d8032/r-2.jpg)
CONTOH SOAL UAN – INTEGRAL .CONTOH SOAL UAN – INTEGRAL © Aidia Propitious 1 … dan garis x = 4 diputar 3600 terhadap sumbu x adalah … PEMBAHASAN: 1 - [PDF Document]

Contoh Soal Integral Tak Tentu
![]()
Tentukan hasil Integral t… | Lihat cara penyelesaian di QANDA

Contoh Soal Integral Tentu, Tak Tentu, Substitusi, Parsial

Contoh soal dan cara penyelesaian integral tak tentu dengan mudah - Cara Vector - Tutorial Vector dan design
![Pengertian Integral Tentu dan Tak Tentu [+Contoh Soal]](https://i1.wp.com/www.statmat.net/wp-content/uploads/2019/05/Integral-tentu-dan-Integral-tak-tentu-5.png)
Pengertian Integral Tentu dan Tak Tentu [+Contoh Soal]
![√ Penjelasan Integral Tak Tentu dan Integral Trigonometri [LENGKAP] …](https://i3.wp.com/saintif.com/wp-content/uploads/2020/08/image-35.png)
√ Penjelasan Integral Tak Tentu dan Integral Trigonometri [LENGKAP] …

Soal dan Pembahasan - Luas Daerah Menggunakan Integral - Mathcyber1997