
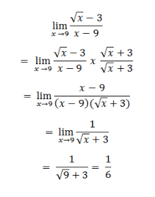
Limit dengan Pemfaktoran dan Perkalian Sekawan

Contoh Soal Limit Fungsi Perkalian Sekawan - Kumpulan Contoh Surat dan Soal Terlengkap

Menyelesaikan limit dengan perkalian sekawan - YouTube

Assalamu’alaikum: SOAL DAN PEMBAHASAN LIMIT FUNGSI Perkalian Sekawan

14++ Contoh Soal Limit Perkalian Sekawan - Kumpulan Contoh Soal

Soal Limit Aljabar yang Diselesaikan dengan Perkalian Sekawan

selesaikanlah limit fungsi ini dengan cara perkalian sekawan atau perasionalan bentuk akar. a. lim - Brainly.co.id

Soal Dan Jawaban Limit Bentuk Akar - Kumpulan Contoh Surat dan Soal Terlengkap
27++ Contoh Soal Limit Fungsi Perkalian Sekawan - Kumpulan Contoh Soal

Contoh Soal Limit Perkalian Akar Sekawan

Konsep Limit Fungsi Aljabar dan Sifat-sifatnya | Matematika Kelas 11

Satu contoh soal tentang perkalian sekawan (limit) beserta dengan penyelesaiannya! - Brainly.co.id

Contoh Perkalian Akar Sekawan

Limit Fungsi Aljabar (Subtitusi, Pemfaktoran, Perkalian Sekawan) - YouTube
Limit Bentuk Tak Tentu ∞-∞

Limit Fungsi Aljabar Nol Per Nol

Contoh Soal Limit Fungsi Aljabar Bentuk Akar Perkalian Sekawan - Kumpulan Contoh Surat dan Soal Terlengkap

Soal Tentukan nilal limit fungsi aljabar dengan cara perkalian sekawan. lim_(x rarr-0)(x)/(sqrt

Contoh Soal Limit Akar Sekawan

Kumpulan Soal Matematika Limit Akar Sekawan - gupak.com

Cara Mudah Mengerjakan Soal Limit Fungsi Aljabar Bentuk Tak Tentu - Kompasiana.com

Mita Pustari on Twitter: “selanjutnya contoh penyelesaian limit fungsi aljabar di tak hingga dg perkalian faktor sekawan #math54 http://t.co/DkrzlqfQSO"

Limit Fungsi Aljabar - Matematika Kelas 11 - Quipper Blog

Kumpulan Soal Matematika Limit Akar Sekawan - gupak.com

Contoh Soal Dan Pembahasan Limit Aljabar

Soal Perkalian Akar Sekawan

Soal Gunakan cara perkalian sekawan dan pemfaktoran serta gunakan cara praktis lim_(x rarr oo)s
Cara Menentukan Limit Fungsi Aljabar

Nilai Limit dengan Metode Perkalian Sekawan - Part 1 - YouTube

Contoh Soal Limit Dengan Perkalian Sekawan

Limit Fungsi Aljabar - Matematika Kelas 11 - Quipper Blog

Menentukan limit fungsi dengan perkalian sekawan!bantu ya kak! - Brainly.co.id

Tag: contoh soal dan pembahasan limit perkalian sekawan - Kumpulan Contoh Surat dan Soal Terlengkap
Dengan merasionalkan penyebut, carilah nilai limit…

PENYELESAIAN LIMIT FUNGSI ALJABAR DENGAN METODE PERKALIAN AKAR SEKAWAN | Pengikut

11++ Contoh Soal Limit Perkalian Akar Sekawan - Kumpulan Contoh Soal

Contoh Soal Menyelesaikan Limit dengan Mengalikan Sekawan 1 - YouTube

Contoh Soal Limit Perkalian Sekawan

Limit Aljabar Bentuk Tak Tentu Akar Pangkat Tiga

Limit Fungsi Aljabar - Matematika Kelas 11 - Quipper Blog

Metode Perkalian Dengan Akar Sekawan

PENYELESAIAN LIMIT FUNGSI ALJABAR DENGAN METODE PERKALIAN AKAR SEKAWAN – August’s

Tentukan limit dibawah ini dengan cara perkalian sekawan. lim (√2x+5 - √2x+7) (x-2) / (√3x-4 - Brainly.co.id

LIMIT FUNGSI Ilustrasi limit - ? ‚ perkalian sekawan). Limit fungsi di tak hingga. PROGRAM SEMESTER

LIMIT PERKALIAN SEKAWAN || BENTUK AKAR - MATEMATIKA KELAS 11 - YouTube

Soal Limit Perkalian Akar Sekawan
Soal Limit Fungsi Aljabar Beserta Pembahasan

32++ Contoh Soal Limit Aljabar Perkalian Sekawan - Kumpulan Contoh Soal

√ Limit Fungsi Aljabar: Definisi, Sifat, Metode, Trigonometri, Teorema

Limit Fungsi Aljabar - Materi, Rumus, Metode, Contoh Soal

Pelajaran, Soal & Rumus Limit Mengalikan Sekawan | Wardaya College

Limit Fungsi : Pengertian, Rumus, Dan Contoh Soalnya Lengkap | TutorialBahasaInggris.Co.Id

materi mtk limit perkalian sekawan - YouTube

Perkalian Akar Sekawan

bantu jawab yaa soal limit perkalian sekawan - Brainly.co.id

Soal Limit Aljabar yang Diselesaikan dengan Pemfaktoran

Limit Fungsi Matematika: Tak Hingga, Trigonometri, Contoh Soal
Dokumen | PDF

Soal Tentukan nilai limit fungsi aljabar dengan cara perkalian sekawan. lim_(x rarr7)(2-sqrt(x-

√ Limit Fungsi (Rumus, Macam, dan Contoh Soal)

Trik Mengerjakan Soal Limit Fungsi Aljabar Bentuk Tak Tentu - Kompasiana.com

tentukan nilai limit fungsi berikut dengan menggunakan perkalian sekawan. Lim mendekati 2 akar x+2 - akar 3x-2/x-2
Limit Fungsi, Sifat-sifat dan Contoh Soalnya - partnermatematika.com

Limit Fungsi Aljabar : Rumus, Metode, Sifat, Teorema, dan Contoh Soal

Fungsi Aljabar - Limit, Turunan, Contoh Soal

Materi Limit Fungsi Aljabar & Trigonometri : Pengertian, Rumus, Contoh

PENYELESAIAN LIMIT FUNGSI ALJABAR DENGAN METODE PERKALIAN AKAR SEKAWAN – August’s
![Limit Fungsi - [DOCX Document]](https://i3.wp.com/reader021.docslide.net/reader021/html5/20170915/55cf8ec3550346703b955cb6/bg2.png)
Limit Fungsi - [DOCX Document]

Menu Program Klik Salah Satu PENDAHULUAN PEMBAHASAN PENUTUP - ppt download

Limit Fungsi Aljabar - Matematika Kelas 11 - Quipper Blog

MATH TEST 11th GradeTentukan nilai subtitusi, pemfaktoran, dan perkalian sekawan dari limit fungsi aljabar pada gambar.•DILARANG

Contoh Soal Limit Fungsi Aljabar Bentuk Akar Perkalian Sekawan - Contoh Soal Terbaru

Limit dengan perkalian sekawan - YouTube
Contoh Soal Limit Fungsi Pemfaktoran

Materi Matematika SMA Kelas 10 Bentuk Akar Deserta Contoh Soal
Solusi Super Menyelesaikan Limit Fungsi Trigonometri buat Anak Kelas 11 | Quipper | LINE TODAY

Limit Fungsi
SD MatematikaBahasa IndonesiaIPA Terpadu SMP MatematikaFisikaBiologiBahasa IndonesiaBahasa InggrisGeografiSosiologiSejarahEkonomi SMA MatematikaFisikaKimiaBiologiBahasa IndonesiaBahasa InggrisSejarahEkonomiGeografiSosiologi …

Cara Merasionalkan Penyebut Bentuk Akar Pangkat Tiga Dilengkapi Soal Penerapan - M4TH-LAB

Menentukan limit fungsi dengan perkalian sekawan!bantu ya kak! - Brainly.co.id
Limit Bentuk Tak Hingga

Materi Limit Fungsi Aljabar Beserta Rumus dan Contoh Soalnya – Anto Tunggal

√ Limit Fungsi (Rumus, Macam, dan Contoh Soal)

Cara Perkalian Akar Sekawan

Bentuk Akar - Akar Sekawan | idschool

Soal Tentukan nilai limit berikut dengan cara perkalian sekawan. lim_(x rarr0)(x+sqrtx)/(sqrtx)
![LIMIT FUNGSI Ilustrasi limit - ? · perkalian sekawan). Limit fungsi di tak hingga. PROGRAM SEMESTER - [PDF Document]](https://i0.wp.com/demo.fdokumen.com/img/378x509/reader023/reader/2020111421/5a7844787f8b9a4b538e94f3/r-1.jpg)
LIMIT FUNGSI Ilustrasi limit - ? · perkalian sekawan). Limit fungsi di tak hingga. PROGRAM SEMESTER - [PDF Document]

Kumpulan Soal Matematika Limit Akar Sekawan - gupak.com
Contoh Soal Limit Tak Hingga Bentuk Akar Brainly

Matematika “LIMIT FUNGSI - Cara Numerik”

Soal Dan Pembahasan Limit Perkalian Sekawan - Kumpulan Contoh Surat dan Soal Terlengkap
Limit Fungsi Aljabar, Materi dan Latihan Soal - Belajar Mat

18 December 2018Editor Hendry. P1 1 PENDAHULUAN 2 PEMBAHASAN 3 PENUTUP. - ppt download

Materi Limit Fungsi Aljabar - Sekolah Bunyan Indonesia

Contoh Soal Limit Dengan Pemfaktoran

Limit Tak Hingga Trigonometri, Polinomial, Pecahan, Eksonensial

Limit dan Fungsi – YOLLAEKA

Contoh Soal Limit Fungsi Aljabar Bentuk Akar Brainly
Lks 6 | PDF
Sumber Belajar - SEAMOLEC