![]()
Proses Adiabatik – Pengertian dan Rumus - Pengertian
Adiabatik Isobarik | PDF
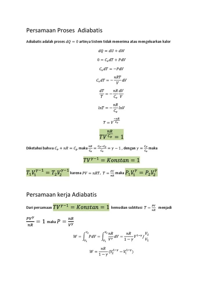
Persamaan Proses Adiabatis | PDF

Proses ADIABATIK - Bahas Tuntas Materi & Soal Lengkap Termodinamika # adiabatik #termodinamika - YouTube

Penjelasan dan Proses Termodinamika

Hukum I Termodinamika

Hukum I Termodinamika
Ppt.7. Adiabatik, Siklus Termo & Entalpi | PDF

Hukum Termodinamika 1 2 - Pengertian, Rumus, Proses, Materi, & Siklus

Termodinamika - Hukum Termodinamika 1 2 3 & Mesin/Siklus Carnot

Rumus proses adiabatis = … - Brainly.co.id

Dasar-Dasar Kompresi Gas dan klasifikasi - ppt download

Siklus Carnot - Tahapan, Mekanisme, Daya Guna & Contoh Soal

TERMODINAMIKA USAHA PADA PROSES ADIABATIK - YouTube
Pembahasan Soal Termodinamika - Solusi Fisika
Proses Adiabatik | PDF

Materi gas & termodinamika
![]()
Rumus-Rumus Fisika Lengkap/Termodinamika - Wikibuku bahasa Indonesia

suatu gas mengalami proses pemampatan secara adiabatik sehingga volume gas menjadi setengah volume - Brainly.co.id
![]()
Energi Kinetik – Rumus, Persamaan dan Penjelasan - Pengertian

adiabatis reversibel | djukarna

TERMODINAMIKA PROSES-PROSES TERMODINAMIKA Proses Isobarik (1) - ppt download
Rumus-Rumus Termodinamika | PDF

Contoh Soal Hukum 1 Termodinamika Adiabatik

Bahan termodinamika

8 Proses Dasar Termodinamika | Taufiqur Rokhman
![]()
Proses adiabatik - Wikipedia bahasa Indonesia, ensiklopedia bebas

Besar Usaha dan Efisiensi Mesin Carnot | idschool

Dapat menganalisis dan menerapkan hukum termodinamika. - ppt download

Gas ideal monoatomik dalam suatu wadah mengalami kompresi adiabatik,mula mula gas bertekanan 1 atm - Brainly.co.id

Proses Adiabatik Untuk Gas Ideal - SainsPedia
![]()
Rumus-Rumus Fisika Lengkap/Termodinamika - Wikibuku bahasa Indonesia

Usaha dan Proses dalam Termodinamika, Hukum Termodinamika 1 2 dan 3, Rumus, Contoh Soal, Kunci Jawaban

Hukum Pertama Termodinamika - ppt download

5 kapasitas panas (termodinamika)

TERMODINAMIKA PROSES ADIABATIK - YouTube

T-Lab: Proses Adiabatik (isentropik) pada gas ideal

Termodinamika - Hukum Termodinamika 1 2 3 & Mesin/Siklus Carnot

Usaha dan Proses Termodinamika - Fisika Sekolah

Ternodinamika - Usaha Dan Proses Proses Dalam Termodinamika | Pelajaran Sekolah Online

T E R M O D I N A M I K A ( Autosaved)

Rumus Lengkap Fisika Temodinamika

Suatu gas ideal (γ = 5/3) dimampatkan secara adiabatik dari volume V menjadi V/8. Tentukan perbandingan suhu sekarang dan suhu awal - Mas Dayat

KERJA PEMUAIAN ADIABATIK - ppt download

Hukum I Termodinamika
Rumus | PDF

Berkelas. - ppt download

Proses ADIABATIK - Bahas Tuntas Materi & Soal Lengkap Termodinamika # adiabatik #termodinamika - YouTube

√ Mesin Carnot: Pengertian, Rumus, Jenis Proses, Contoh Soal dan Pembahasan …

Sifat Fisis Atmosfer, Uap Air dan Laju Penurunan Suhu Udara di Atmosfer

Contoh Soal dan Pembahasan Tentang Termodinamika

5 kapasitas panas (termodinamika)
d. Proses Adiabatik → dq = 0 Adiabatik : tidak energi (dalam bentuk panas) yang masuk maupun keluar dari /ke sistem. Persamaa

Ambisnotes | Rumus Fisika kelas 11 semester 2 - Ambisnotes
![]()
KUMPULAN RUMUS FISIKA SMA KELAS XI
![Materi Lengkap] Prinsip, Rumus, hingga Contoh Soal Termodinamika](https://i2.wp.com/cerdika.com/wp-content/uploads/2020/02/Jenis-Jenis-Siklus-760x675.jpg )
Materi Lengkap] Prinsip, Rumus, hingga Contoh Soal Termodinamika

Hukum Termodinamika: Pengertian, Sistem, Proses, Penerapan, Contoh!
![Tugas Termodinamika (Adiabatik gas Sempurna) Oleh Vivi Ambar K (16630013) – KIMI[A]16](https://i2.wp.com/akimia16.files.wordpress.com/2017/12/picture1.jpg)
Tugas Termodinamika (Adiabatik gas Sempurna) Oleh Vivi Ambar K (16630013) – KIMI[A]16

Proses Adiabatik, pengertian, contoh, contoh soal, dinamika adiabatik

Suhu potensial dan proses adiabatik dalam meteorologi fisik

Termodinamika - Hukum Termodinamika 1 2 3 & Mesin/Siklus Carnot

termodinamika

Sebuah sistem gas ideal dikompresi secara adiabatik dari tekanan 1 atm menjadi tekanan 8 atm pada - Brainly.co.id
![]()
Jelaskan pengertian proses adiabatik beserta rumus…

Entropi - Fisika Dasar

Pengertian Termodinamika, Prinsip, Konsep, Rumus, Hukum, Contoh

Mesin pendingin - Fisika SMA

tiga Mol gas memuai secara isotermal pada suhu 27° celcius sehingga volumenya berubah dari 20 cm3 - Brainly.co.id

T-Lab: Proses Termodinamika pada Ideal (Isobarik, Isokhorik, dan Isotermal)
![]()
Isokhorik Adalah – Kami

Hukum Termodinamika 1 Dan 2 - Pengertian, Rumus, Contoh Soal

Ujian Tulis Berbasis Komputer - Penurunan Rumus Pengaruh Temperatur Pada Kecepatan Suara Offered by Unacademy

Sejumlah gas H2S menempati volume 5x10^-3 m^3
![]()
Rumus-Rumus Fisika Lengkap/Termodinamika - Wikibuku bahasa Indonesia

Termodinamika : Pengertian, Prinsip, Sistem, Hukum & Rumusnya

Contoh soal termodinamika dan pembahasannya – Soalfismat.com

Daya dan Efisiensi Kompresor | Taufiqur Rokhman

Latihan Soal + Jawaban Termodinamika Kelas XI - ujian online fisika

Konsep Gelombang Bunyi

Pembahasan Kunci Jawaban KSK Kebumian 2020 No 21-25 - Guru Geografi

Rumus Termodinamika Entropi - Contoh Soal dan Jawaban

Rumus Hukum Termodinamika 1 - SiswaPelajar.com

Sebuah silinder mesin diesel berisi udara dengan volume 90 cm3, suhu 270C, dan tekanan 1 atm - Mas Dayat

PANDANGAN UMUM TENTANG THERMODINAMIKA Thermodinamika adalah ilmu yang

Contoh Soal Isotermik – Goreng

Proses Termodinamika, Pengertian Dan Jenis Proses termodinamika

Termodinamika - Hukum Termodinamika 1 2 3 & Mesin/Siklus Carnot

Ciri-Ciri Proses Isotermik, Isokhorik, Isobarik, Adiabatik - INIRUMAHPINTAR.com

KUMPULAN RUMUS FISIKA SMA KELAS XI.pdf - PDFCOFFEE.COM

gb (@maumasukptnitb) | Twitter

F154 - Termodinamika ,Siklus Carnot ,penurunan rumus perbandingan kalor buang dan kalor masukan gas - YouTube
Penerapan Hukum 1 Termodinamika Pada Proses Adiabatik Beserta Contoh Soal

Soal Jika akar-akar persamaan _ adalah _ dan _ maka nilai _

Rangkuman, Contoh Soal Termodinamika Pembahasan & Jawaban
BAB II DASAR TEORI

Hukum Termodinamika Dasar Ilmu adiabatik – SMANSUS GEO CLUB OLYMPIAD

Kumpulan Soal dan Pembahasan Soal Ujian Nasional (UN) Fisika SMA Part 1 - Gas Ideal (Hukum Pertama Termodinamika) - Gammafis Blog

BAB 1 KONSEP DASAR TERMODINAMIKA adalah satu sains
![]()
KUMPULAN RUMUS FISIKA SMA KELAS XI

Hukum Termodinamika I dan II,Penjelasan, Rumus dan Contoh Pembahasan Soal Lengkap! | Pelajaran Sekolah Online