
How to handle sin(4x) - YouTube
Berapa integral dari sin(4x)? - Quora

sin4x | sin(4x) | Identity for sin4x | formula for sin(4x) | value of sin(4x) - YouTube
integral sin 4x cos 4x dx =… - Brainly.co.id

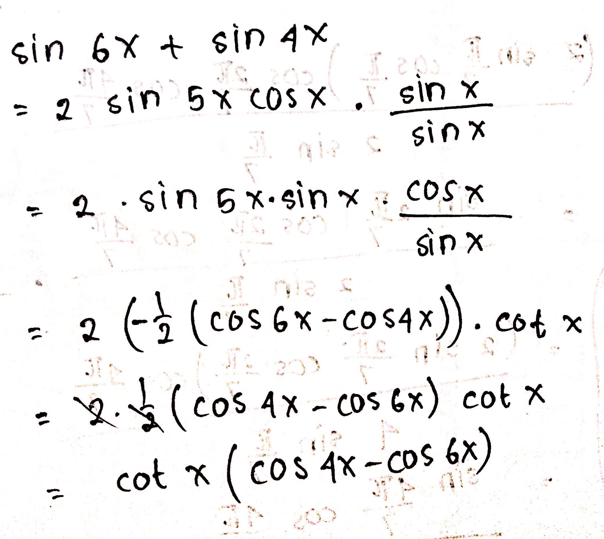
Buktikan Sin 6x + sin 4x = cot x (cos 4x - cos 6x) - Brainly.co.id
Berapakah integral dari sin^4x.cos^4x? - Quora

Berapakah nilai limx → 0 sin 4x - sin 2x / 4 sin 3x? - Mas Dayat

sin (4x + 15°) = sin 87° untuk 0° ≤ x ≤ 360° - Mas Dayat

Ex 7.3, 7 - Integrate sin 4x sin 8x - Chapter 7 Class 12
Jika cos(2x)+cos(4x)=1/2, maka sin(4x)+2sin(6x)+sin(8x)= …

Penjabaran sin^4x Trigonometri-Bank Soal Matematika SMA#9 - YouTube

Example 23 - Solve sin 2x - sin 4x + sin 6x = 0 - Chapter 3

buktikan bahwa sin^4x- sin ^2x = cos^4x-cos^2x - Brainly.co.id

Soal Himpunan penyelesaian sin 4x+sin 2x=0,0^(@)

Soal Bentuk (sin 4x+sin 25)/(cos 4x+cos 2x) senilai dengan

Solved Prove the identity. 5 sin(4x) = 20 cos(x) cos(2x) | Chegg.com

sin 4x = cos x, 0 ≤ x ≤ 2π - Mas Dayat

How to show that cos^4x - sin^4x = 1 - 2cos^2x - YouTube

2 sin 4x - 1 = 0 untuk 0° ≤ x ≤ 360° - Mas Dayat
Bagaimana cara mencari amplitudo dan periode untuk Y=3 sin 4x - Quora

Soal Jika cos 2x+cos 4x=(1)/(2), maka sin 4x+2sin 6x+sin 8x= (A). sin 2x+sin 4x (B). sin x+sin

Bab 3

Pythagorean Trig Identity sin^4x cos^4x = 1 2 cos^2x - YouTube

Tentukan hasil integral trigonometri ini int sin (4x - 2) dx - Brainly.co.id

Himpunan penyelesaian dari sin (4x - 2/5 π) = sin ½ π untuk 0 ≤ x ≤ 2π adalah - Mas Dayat

Answered: Verify that each equation is an… | bartleby
Berapakah turunan dari sin ^2(4x)? - Quora

Soal Bentuk (sin 4x+sin 2x)/(cos 4x+cos 2x) senilai dengan

sin2 4x - 3 sin 4x - 4 = 0 untuk 0° ≤ x ≤ 360° - Mas Dayat

4 sin x cos 3x sama dengan… a. 2 sin 2x + 2 sin 4xb. 2 sin 4x - 2 sin 2xc. sin 4x - sin 2xd. sin 4x + sin 2xe. sin 4x - 2 sin 2xsama

Solved Solve the following equations. a). sin (4x)- cos(5x) | Chegg.com

Bantu jawab dong, sama caranya ya. Makasih. - Brainly.co.id

Integrate sin^4 x - Teachoo Maths - Chapter 7 Class 12 - Ex 7.3

differentiate 1 sin4x 1 sin4x sh4yrtxx -Mathematics - TopperLearning.com

Grafik fungsi y = sin (4x + 120°) adalah …Tolong dijawab lengkap dengan caranya ya, Kak, karena untuk latihan PAT, terima kasih
Nilai limit x-> pi/6 (tan 2x tan 4x)/(sinx+sin 4x)= ….
![]()
Find the period of (a) (|sin4x|+|cos 4x|)/(|sin 4x-cos 4x|+|sin 4x+cos 4x|) (b) f(x)=“sin”(pi x)/(n!)-“cos”(pi x)/((n+1)!) (c ) f(x)=sin x +“tan”(x)/(2)+“sin”(x)/(2^(2))+“tan”(x)/(2^(3))+ … +“sin “(x)/(2^(n-1))+“tan”(x)/(2^(n))
Can you simplify Sin^4(x) + Cos^4(x)? - Quora

Soal Nilai limit_(x rarr0)(6sin^(3)2x)/(sin 4x*sin 3x)

Persamaan trigonometri sin4x+sin2x=0 Contoh 4 - YouTube

integration e3x sin 4x dx explain in great detail - Mathematics - TopperLearning.com | nryfwx33

tentukan hp dari 2 sin 4x +√3 =0 untuk 0…

sin 4x = sin 1/3 π, 0 ≤ x ≤ 2π - Mas Dayat

bentuk sin 4x + sin 2x : cos 4x + cos 2x - Brainly.co.id

Integrate sin^34x

Pd6
![UN SMA IPA 2008 Matematika - .Turunan pertama dari y = sin 4x adalah y' = …. (A) -cos 4x (B) cos - [PDF Document]](https://i3.wp.com/demo.fdokumen.com/img/378x509/reader025/reader/2021043009/5c81dfdc09d3f263728ce6a3/r-2.jpg)
UN SMA IPA 2008 Matematika - .Turunan pertama dari y = sin 4x adalah y' = …. (A) -cos 4x (B) cos - [PDF Document]
x→0lim3x2cos(x)sin(4x)+sin(2x)=….

Nilai dari limit x->0 ((sin 4x-sin 2x)/6x) adalah …

View question - prove sin4x-sin2x/ cos4x+cos2x= ?

Soal Turunan pertama dari fungsi f(x)=cos^(2)4x adalah A. -8cos 4x sin 4x B. -4cos 4x sin 4x C.

Answered: : y=cos4x-sin4x | bartleby

Solved Prove the identity. 5 sin(4x) = 20 cos(x) cos(2x) | Chegg.com

Sin 4x + sin 2x = 0 dengan 0⁰ selengkapnya di foto ya kakk, tolong dibantuu
If sin^4x/2+cos^4x/3=1/5, then - Sarthaks eConnect | Largest Online Education Community

How to Integrate sin4x - YouTube
What Is The Period Of The Sine Function Y=sin(4x)
Prove that (cos^4x + sin^4x) = 1/2(2 - sin^22x) - Sarthaks eConnect | Largest Online Education Community

Find the derivative of sin(4x - 1) using first principle of derivative
Apa integrasi dari [math]\displaystyle \int\dfrac1{\sin^4x +\cos^4x}\mathrm dx[/math] ? - Quora
RBF and MLP models of y = sin(4x). | Download Scientific Diagram

Integral Sin 4x cos 4x dx= - Brainly.co.id

486 DIFFERENTIAL EQUATION
- limit x mendekati nol : sin4x tan² 3x + 6x³ per 2x² sin 3x cos 2x 2. limit x mendekati 3 : 1 - co…. Question from @ditajulia
Solved] 6. [ x2 sin 4x dx (a) =x2sin (4x) + #x cos(4x) + -sin(4x) + C 32 (b) -= x2 sin (4x) + =x cos(4x) + = sin(4x) + C 8 32 (c) – x2 sin(4x) - =x… | Course Hero

Bentuk sederhana dari (cos 4x-sin 8x-cos 12x)/(sin 12x-co…

Evaluate Integration Sin 3x Cos 4x Dx

Differentiate each of the following w.r.t. x : sin 4x

sin 4x = sin 2/3π, 0 ≤ x ≤ 2π - Mas Dayat

Soal 5. Bentuk (sin 4x+sin 2x)/(cos 4x+cos 2x) senilai dengan
Buktikan cos2x+cos4x+cos6xsin2x+sin4x+sin6x=tanx.

Pd6

convert the following into product sin 4x + cos 2x - Maths - Trigonometric Functions - 13772961 | Meritnation.com

Numerical recovery of a sinusoidal potential, q(x) = sin(4x). Left:… | Download Scientific Diagram

Ekspresi 2 sin 3x cos x setara dengan… a. sin 4x + sin 2xb. sin 4x - sin 2xc. 2 sin 4x + sin 2xd. 2 sin 4x - 2 sin 2xe. sin 4x

Prove that (Cos 4x + Cos 3x + Cos 2x)/(Sin 4x + Sin 3x + Sin 2x) = Cot 3x - Mathematics | Shaalaa.com
Solved 3. Solve the equations for 0 x 2π (a) sin 4x=0 (b) | Chegg.com

Integral sin^4x cos^5x - YouTube
Himpunan penyelesaian persamaan sin 4x -cos 2x =0 untuk 0° kurang dari sama dengan x kurang dari sam…. Question from @imeldanatalia19
![pertidaksamaan 210g (x — C. … — sin 4x+C 16 —x3 —A2x+ 2, A konstanta. … dalam setiap pengambilan tanpa dikembalikan, - [PDF Document]](https://i2.wp.com/reader020.staticloud.net/reader020/html5/20190726/5a8da76f7f8b9a78648cb056/bg4.png)
pertidaksamaan 210g (x — C. … — sin 4x+C 16 —x3 —A2x+ 2, A konstanta. … dalam setiap pengambilan tanpa dikembalikan, - [PDF Document]

Solve Sin2x -Sin4x +Sin6x=0

SOLVED:QUESTion Findy”_ y = sin(4x 2e X) ~8e* sin(4x2eX) - 8xeX sin(4x2e*) (x2 4x + 2JeX cos(4x2e*) 4xe*(x3 4x2 4x) cos(4x2eX) 4(x2 _ 4x + 2JeX cos(4x2eX) - 16xe2x(x3 4x2 4x) sin(4x2eX)
O Mais Rápido Hasil Integral Sin 2x Cos 4x Dx
Integrate cos 2x sin 4x - Sarthaks eConnect | Largest Online Education Community

Find the general solution of the equation: (sin 2x-sin 4x+sin 6x=0) | Snapsolve

Grafik fungsi untuk y = sin 4x adalah …. - Brainly.co.id

Sin Sine Trigonometric Function First 4 Stock Vector (Royalty Free) 1181418391

Cos 4x sin 4x sin 2x

Integral of sin^4(x) (video) | Integrals | Khan Academy

SOLVED:Solve integral cos^2(4x)sin(4x)

Ex 3.3, 14 - Prove that sin 2x + 2sin 4x + sin 6x = 4cos2 x

The general solution of sin x + sin 5x = sin 2x + sin 4x isa)2 np ; n Î Ib)np ; n Î Ic)np/3 ; n Î Id)2 np/3 ; n

integral sin4x sinxdx - Mathematics - TopperLearning.com | 08b03f22

Soal Penyelesaian dari persamaan sin 4x-sin 2x+cos 3x=0 pada interval 0^(@) adalah..

Find the intervals in which the function f(x) = sin^4x + cos^4x - CBSE Class 12 - Learn CBSE Forum

what is the integral of sinx/sin4x - Maths - Integrals - 1724794 | Meritnation.com
![]()
Graphing 2sin(4x) | Math, Trigonometry | ShowMe

A test case: a damped sign (f(x) = e ?x sin 4x) on an irregular grid… | Download Scientific Diagram
Jika f(x) = 3 cos 4x maka turunan fungsi pertama d…
sin 4x sin 3x-cos 4x cos 3x= …