
Soal Laju Reaksi + Pembahasan

Contoh Soal Laju Reaksi - YouTube

Soal Laju Reaksi + Pembahasan

Contoh Soal Laju Reaksi
Soal-Soal Laju Reaksi | PDF

Pembahasan Soal UN Kimia 2011 (7) | Blog Urip Guru Kimia
![60+ Soal Laju Reaksi Pilihan Ganda dan Jawaban [+Pembahasan]](https://i3.wp.com/soalkimia.com/wp-content/uploads/2017/05/soal-laju-reaksi-no-33.jpg)
60+ Soal Laju Reaksi Pilihan Ganda dan Jawaban [+Pembahasan]

Pembahasan Persamaan Laju Reaksi - Level 3 - YouTube

SOAL-SOAL LAJU REAKSI | ekasovia

Pembahasan Persamaan Laju Reaksi - Level 1 - YouTube

Laju Reaksi : 30 Contoh Soal dan Pembahasan Laju Reaksi - Panduan Kimia + Riset

Modul, Rumus, & Soal Hukum Laju Reaksi | Wardaya College

pembahasan soal matriks: Contoh Soal Laju Reaksi Suhu

Materi Kimia: Laju Reaksi - Zenius Blog

Contoh Soal Laju Reaksi Dan Orde Reaksi – Sedang
Soal Tentang Laju Reaksi Beserta Jawabannya

Contoh Soal Laju Reaksi Beserta Pembahasannya

Contoh Soal Laju Reaksi - Laju Reaksi

Persamaan Laju Reaksi - Penjelasan, Rumus, Contoh Soal dan Jawaban

Soal kimia kelas 11 Laju reaksi - Brainly.co.id

Contoh Soal Laju Reaksi - Contoh Soal Terbaru

Persamaan laju reaksi - contoh soal - kimia SMA - YouTube
![60+ Soal Laju Reaksi Pilihan Ganda dan Jawaban [+Pembahasan]](https://i0.wp.com/soalkimia.com/wp-content/uploads/2017/05/4-Laju-Reaksi.jpg)
60+ Soal Laju Reaksi Pilihan Ganda dan Jawaban [+Pembahasan]

Soal Laju Reaksi + Pembahasan

Pembahasan Soal UN Kimia 2011 (7) | Blog Urip Guru Kimia
Soal Esai Laju Reaksi Kimia Paket 1 | PDF

15 Contoh Soal Ide Laju Reaksi : Pengertian & Rumus

Contoh Soal Laju Reaksi « Riyadhul’s Blog

Contoh Soal Laju Reaksi Molaritas - Kumpulan Contoh Surat dan Soal Terlengkap

Metode Aljabar untuk Penentuan Orde Reaksi Dua Zat dengan Data Konsentrasi Berbeda-beda pada Laju Reaksi - Urip dot Info

KIMIA OKE PINTAR: PEMBAHASAN SOAL - SOAL LAJU REAKSI
![60+ Soal Laju Reaksi Pilihan Ganda dan Jawaban [+Pembahasan]](https://i3.wp.com/soalkimia.com/wp-content/uploads/2017/05/soal-laju-reaksi-no-43-1.jpg)
60+ Soal Laju Reaksi Pilihan Ganda dan Jawaban [+Pembahasan]

Laju Reaksi - Orde Reaksi, Faktor yang Mempengaruhi, dan Katalis
![]()
Contoh Soal Laju Reaksi Dan Pembahasan - Soal Kelasmu

Soal Pembahasan Rumus Persamaan Laju Reaksi - gupak.com

Soal Laju Reaksi + Pembahasan

Laju Reaksi - Persamaan, Teori, Contoh Soal, Hukum Dan Faktorn

Contoh soal laju reaksi dan penyelesaiannya + pembahasan – Soalfismat.com
![]()
DOC) Pilihan Ganda Latihan contoh soal laju reaksi | Lhueylhuk MHachi ThayankchieydHiya - Academia.edu
![Terlengkap] Rangkuman, Contoh Soal Laju Reaksi & Pembahasan](https://i2.wp.com/tanya-tanya.com/wp-content/plugins/wp-youtube-lyte/lyteCache.php?origThumbUrl=https%3A%2F%2Fi.ytimg.com%2Fvi%2FfWyX7S35Eh8%2F0.jpg )
Terlengkap] Rangkuman, Contoh Soal Laju Reaksi & Pembahasan

Laju Reaksi - Pengertian, Faktor , Persamaan, Rumus dan Soal

Contoh soal laju reaksi dan penyelesaiannya + pembahasan – Soalfismat.com

SOAL-SOAL LAJU REAKSI | ekasovia

Contoh Soal Laju Reaksi Pilihan Ganda Dan Jawaban - Contoh Soal Terbaru

Soal Laju Reaksi + Pembahasan
![Contoh Soal Laju Reaksi - [PDF Document]](https://i3.wp.com/demo.fdokumen.com/img/378x509/reader024/reader/2021021905/5695d1fe1a28ab9b0298b9bb/r-1.jpg)
Contoh Soal Laju Reaksi - [PDF Document]

√ Laju Reaksi (Pengertian, Rumus, Contoh, Soal)
Contoh Soal Laju Reaksi | PDF

Contoh Soal Laju Reaksi - Laju Reaksi

Contoh Soal Laju Reaksi - YouTube

Modul, Rumus, & Soal Faktor yang Mempengaruhi Laju Reaksi | Wardaya College

Latihan soal uh laju reaksi
![60+ Soal Laju Reaksi Pilihan Ganda dan Jawaban [+Pembahasan]](https://i2.wp.com/soalkimia.com/wp-content/uploads/2017/05/soal-laju-reaksi-no-30.jpg)
60+ Soal Laju Reaksi Pilihan Ganda dan Jawaban [+Pembahasan]

Contoh Soal Laju Reaksi

Contoh Soal a persamaan laju reaksi 3 - YouTube
![Terlengkap] Rangkuman, Contoh Soal Laju Reaksi & Pembahasan](https://i2.wp.com/i.ytimg.com/vi/B9D9OKHHEeM/maxresdefault.jpg )
Terlengkap] Rangkuman, Contoh Soal Laju Reaksi & Pembahasan

Modul, Rumus, & Soal Hukum Laju Reaksi | Wardaya College

Kumpulan Soal kimia SMA tentang Laju Reaksi - myrightspot.com

Contoh Soal Pilihan Ganda Laju Reaksi Kimia Dan Jawabannya - Pilihan Ganda

Soal Laju Reaksi + Pembahasan
Soal Laju Reaksi Nwo 2015 | PDF

tolong bantu menyelesaikan soal laju reaksi ini, saya nyari ga nemu2 - Brainly.co.id

soal dan pembahasan laju reaksi

Metode Logaritma untuk Penentuan Orde Reaksi dengan Data Konsentrasi Berbeda-beda pada Laju Reaksi - Urip dot Info

25 Soal Latihan Dan Pembahasan Materi Laju Reaksi Kelas XI - Jempol kimia

Soal - soal Laju Reaksi dan Pembahasan - YouTube

Contoh soal laju reaksi dan penyelesaiannya + pembahasan – Soalfismat.com

Kelas 11, Ini Hal-hal Penting yang Perlu Kamu Tahu tentang Kelajuan Reaksi
![60+ Soal Laju Reaksi Pilihan Ganda dan Jawaban [+Pembahasan]](https://i2.wp.com/soalkimia.com/wp-content/uploads/2017/05/soal-laju-reaksi-no-40.jpg)
60+ Soal Laju Reaksi Pilihan Ganda dan Jawaban [+Pembahasan]

Rumus Laju Reaksi: Persamaan, Faktor, Orde dan Contoh Soal
Contoh Soal Laju Reaksi Molaritas - Kumpulan Contoh Surat dan Soal Terlengkap

Soal Laju Reaksi + Pembahasan
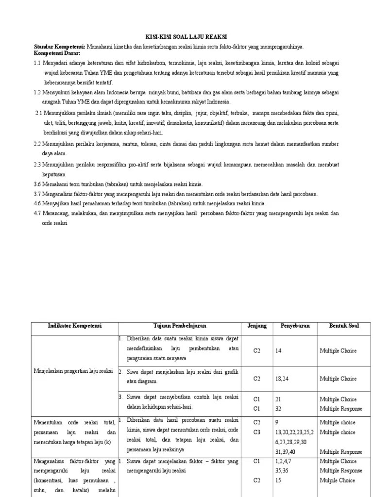
Kisi-Kisi Soal Laju Reaksi | PDF

Soal-soal Laju Reaksi

Laju Reaksi : 30 Contoh Soal dan Pembahasan Laju Reaksi - Panduan Kimia + Riset

Soal Pembahasan Faktor Yang Mempengaruhi Laju Reaksi - gupak.com
Contoh Soal Laju Reaksi - Soal Kelasmu

Soal Laju Reaksi + Pembahasan
![60+ Soal Laju Reaksi Pilihan Ganda dan Jawaban [+Pembahasan]](https://i1.wp.com/soalkimia.com/wp-content/uploads/2017/05/soal-laju-reaksi-no-56.jpg)
60+ Soal Laju Reaksi Pilihan Ganda dan Jawaban [+Pembahasan]
Pelajaran, Soal, & Rumus Pendahuluan Laju Reaksi | Wardaya College

Contoh Soal Kimia Tentang Laju Reaksi - Soal Kelasmu
![soal laju reaksi - [DOC Document]](https://i2.wp.com/demo.vdokumen.com/img/378x509/reader023/reader/2020111420/55cf9b82550346d033a65b73/r-1.jpg)
soal laju reaksi - [DOC Document]

Soal Kimia Tentang Laju Reaksi dan Pembahasannya - myrightspot.com

Contoih Soal Kimia Laju Reaksi Kelas 11 SMA MA dan Kunci Jawabannya

Soal Laju Reaksi + Pembahasan
![60+ Soal Laju Reaksi Pilihan Ganda dan Jawaban [+Pembahasan]](https://i2.wp.com/soalkimia.com/wp-content/uploads/2017/05/Soal-No-6-Laju-Reaksi.jpg)
60+ Soal Laju Reaksi Pilihan Ganda dan Jawaban [+Pembahasan]

Laju reaksi - contoh soal saat NO bereaksi 80%- Kimia SMA - YouTube

Kinkat –bank-soal-dan-penyelesaian1

30 Contoh Soal Laju Reaksi : Kumpulan Soal dan Jawaban Laju Reaksi Kimia Kelas XI SMA

Soal Kimia Tentang Laju Reaksi dan Pembahasannya - myrightspot.com
KISI Laju Reaksi B | PDF
![60+ Soal Laju Reaksi Pilihan Ganda dan Jawaban [+Pembahasan]](https://i1.wp.com/soalkimia.com/wp-content/uploads/2019/12/soal-laju-reaksi-no-43.jpg)
60+ Soal Laju Reaksi Pilihan Ganda dan Jawaban [+Pembahasan]

Persamaan Laju Reaksi - Penjelasan, Rumus, Contoh Soal dan Jawaban

Soal Laju Reaksi + Pembahasan
Soal Laju | PDF
![60+ Soal Laju Reaksi Pilihan Ganda dan Jawaban [+Pembahasan]](https://i0.wp.com/soalkimia.com/wp-content/uploads/2019/12/Soal-Laju-Reaksi-min.jpg)
60+ Soal Laju Reaksi Pilihan Ganda dan Jawaban [+Pembahasan]

Kumpulan Soal kimia SMA tentang Laju Reaksi - myrightspot.com

Kumpulan Soal Pg Laju Reaksi Beserta Pembahasannya

Kelas 11, Ini Hal-hal Penting yang Perlu Kamu Tahu tentang Kelajuan Reaksi
![]()
Kumpulan SOAL PRE - kim - 1 KUMPULAN SOAL PRAK.KIMDAS 2 A. KINETIKA KIMIA 1) laju reaksi? Jawab: - StuDocu