
Persamaan gas ideal

Termodinamika teori kinetik gas

Ideal Gas Law PV = NkT http://phet.colorado.edu/en/simulation/gas-properties phet http://www.walter-fendt.de/ph14e/gaslaw.htm all three. - ppt download

NkT PV = nRT PV = Pa pressure P = m volume V = moles n particles

PV= NKT (prove) - YouTube
Ideal Gas, pV=NkT or pV=nRT
1 P V ∼ PV PV = V T ∼ and V V T T = P T ∼ and P P T T =

proving that PV=NkT - YouTube

PPT - Ideal gas PowerPoint Presentation, free download - ID:2134712

Ideal Gas Law Why bother with Gases? Properties of a Gas - ppt download

Pv=nrt=nkt

Energi Kinetik Gas Ideal | idschool
Ideal Gas, pV=NkT or pV=nRT
Penurunan Rumus Persamaan Gas Ideal PV | PDF

Teori kinetik gas

Me Can We Stop and Get Pv- nkT? Mom We Have PV at Home PV Tat Home RT 2 When You Open the Fridge and See This | Home Meme on ME.ME

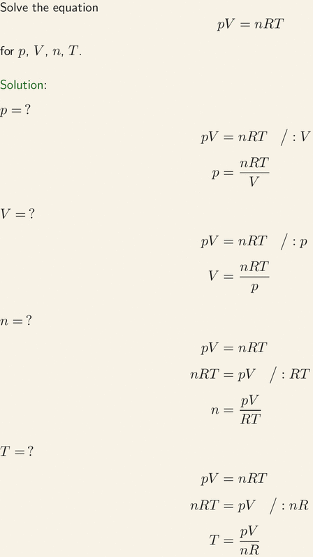
In the equation pv=nrt, how would you solve for v? | Socratic

Persamaan Gas Ideal | djukarna

What Is Pv Nrt

Kinetic Theory Ideal Gas Law – Macroscopic vs. Microscopic - ppt download

PPT - The Ideal Gas Equation PowerPoint Presentation, free download - ID:6717792

Contoh soal persamaan umum gas ideal dan penyelesaiannya – Soalfismat.com

Rearranging equation pV = nRT.

FI1101 Kuliah 13 TEORI KINETIK GAS Teori Kinetik

Solved PV = nRT PV = NKT Try to answer the following | Chegg.com

Hukum gas ideal (Persamaan keadaan gas ideal) - Fisika SMA
GAS IDEAL: Fisika Dasar II

Ideal Gas Law Physics Problems With Boltzmann’s Constant - YouTube

Contoh Soal PVnRT PVNkT Gas Ideal - SUKSESPRIVAT

Sebutkan 3 persamaan yg menyatakan hubungan pV dengan faktor-faktor lainnya dalam persamaan gas - Brainly.co.id

Teori Kinetik Gas – Phyiscs by Rangga Agung’s Team

Penurunan Rumus Persamaan Gas Ideal PV=nRT | Master Matematika Fisika

Equation of state (excess compressibility factor Z À1 ¼ PV/(NkT) À 1 as… | Download Scientific Diagram

Energi kinetik rata-rata gas - Fisika SMA
Pernyataan berikut yang bukan merupakan persamaan …

Physics 101 Lecture 10. Atomic Mass Unit (u) Atomic Mass Unit For one element choose Unit Reference value Unit is called atomic mass unit (u) Reference. - ppt download

PPT - FI-1101: Kuliah 13 TEORI KINETIK GAS PowerPoint Presentation, free download - ID:4380140

Snap PV=nRT The Ideal Gas Law YouTube photos on Pinterest
![Solved [9] (20 points). For ideal (non-interacting) gases PV | Chegg.com](https://i3.wp.com/d2vlcm61l7u1fs.cloudfront.net/media%2F76a%2F76a52e88-51f1-46b9-a07a-2b0b33f86940%2Fphpwxu1OG.png)
Solved [9] (20 points). For ideal (non-interacting) gases PV | Chegg.com
Perhatikan persamaan-persamaan berikut. (1) PV = nRT (3) …

Persamaan Umum Gas Ideal, Konstanta Gas Dan Kurva Isoterm Gas

Pv=nrt Proof

Compressibility factor pV / NkT as a function of packing fraction y for… | Download Scientific Diagram
Persamaan gas ideal (P V = nRT) berdimensi……….

Lesson 45 Notes – Boltzmann`s Constant - science
How to convert PV=nRT into pv=mRT - Quora
Sebanyak 3 Liter Gas Argon Bersuhu | PDF

Disusun oleh: Adip Ma rifu Sururi - PDF Download Gratis

FI-1101: Kuliah 13 TEORI KINETIK GAS - ppt download
Hukum Charles Hukum Charles dikemukakan oleh fisikawan Prancis bernama Jacques Charles. Charles menyatakan bahwa jika tekanan ga

SUKSESPRIVAT - All Post
K13 Revisi Antiremed Kelas 11 Fisika

PENURUNAN RUMUS PERSAMAAN GAS IDEAL - YouTube
![]()
Ideal gas law - Wikipedia

SUHU DAN KALOR Departemen Fisika Fakultas Matematika dan

Ppt energi kinetik gas
fisikaonline: Teori Kinetik Gas dan Termodinamika: materi, rumus, soal, penyelesaian soal serta aplikasinya dalam kehidupan sehari-hari

SOLVED:The ideal gas law can be written as $mathrm{PV}=mathrm{NkT} P V=N k T$ or $mathrm{PV}=mathrm{nRT}$ $P V=n R T$. (a) Explain the different contexts in which you might use one or the
Kumpulan Soal dan Pembahasan Fisika – Teori Kinetik Gas, Persamaan Keadaan Gas Ideal | Guru Baru Indonesia

Tiara. on Twitter: “˚ . ✦ Teori Kinetik Gas ˚ . ✦ Maaf yaa kalau kurang lengkap, ini cuma dari pahamify, catatan lama sama wangsit… "

Sains Organisasi | Penaaksi.com - Kritis tetap Etis
![]()
Materi gas ideal | Shohihatun Bariyah - Academia.edu
![]()
kumpulan soal hukum-hukum gas
Ideal Gases
Mengapa nilai persamaan gas ideal dan van der waals memberikan jawaban yang berbeda? - Quora
![Tp 9 ideal gas law (shared) - [PPTX Powerpoint]](https://i3.wp.com/reader011.fdocuments.in/reader011/slide/20181223/547a2d69b379593a2b8b493a/document-2.png?t=1631710003)
Tp 9 ideal gas law (shared) - [PPTX Powerpoint]

Hukum gas ideal - contoh soal UN

Teori Kinektik Gas Kelas 11 - RumusHitung.Com

Gas Ideal dan Thermodinamika - Bisakimia

Bab VIII Teori Kinetik Gas - PDF Download Gratis

Ideal Gas: physicsmemes
Solved For an ideal gas, the equation s(E,V,N) can be | Chegg.com
Contoh-contoh soal
![rangkuman - [PDF Document]](https://i3.wp.com/reader025.staticloud.net/reader025/reader/2021042905/5571fcf74979599169984036/html/bg3.png)
rangkuman - [PDF Document]

Rangkuman, Contoh Soal Teori Kinetik Pembahasan & Jawaban
mei rusfandi: persamaan umum gas ideal
TEORI KINETIK GAS

Persamaan Gas Ideal dan Contoh Soalnya - MateriIPA.com

What Are Equal In Pv=nrt
![]()
Ideal Gas Law Calculator PV = nRT

Tabung berbentuk bola yang terdapat di sebelah kanan pada gambar di samping memiliki volume V - Mas Dayat

Proof: U = (3/2)PV or U = (3/2)nRT (video) | Khan Academy
RENCANA PELAKSANAAN PEMBELAJARAN =

A sample of gas with a mass of 1.020 g occupies a volume of 762… - HomeworkLib

Rumus Teori Kinetik Gas - Shefalitayal

Kalkulator Persamaan Gas Ideal - PV=nRT - Urip dot Info

SOLVED:PV=NkT find the k, the Boltzmann constant. Variables are P= 89atm V= (9nm4nm10nm) or 360nm^3 N= 430 T= 534K I don’t understand how to “solve” for a constant. The hint was to
![]()
Soal tipe Pemahaman) Berikut ini merupakan persam…

A) Adenie B) UTICI 40. Which of the following expressions is correct on the basis of

Figure . Compressibility factor Z = PV/NkT of the SW fluid plotted… | Download Scientific Diagram

Finding Pv in Pv=nRT for molecular hydrogen - Chemistry Stack Exchange

PPT - Ideal-Gas Equation PowerPoint Presentation, free download - ID:6794964
Kelompok A : Gas Ideal dan contoh kesehariannya Kelompok B : Persamaan & Hukum Gas Ideal Kelompok C : Tekanan Gas dalam ruan
Teori Kinetik Gas | PDF

√ Pengertian Gas Dalam Fisika, Sifat, Ciri, Rumus, dan Contohnya | Guru Sains

persamaan gas Ideal - YouTube

Love Physics (Formulas) for Android - APK Download
![Kel 4-76energi Kinetik Rata-rata Molekul Gas - [PDF Document]](https://i0.wp.com/reader018.staticloud.net/reader018/reader/2019121519/563db90c550346aa9a997f02/html/bg2.png)
Kel 4-76energi Kinetik Rata-rata Molekul Gas - [PDF Document]
Sepuluh liter gas ideal suhunya 127° C mempunyai tekanan 165,5 N/m², maka banyaknya partikel gas - Brainly.co.id
Ideal Gas, pV=NkT or pV=nRT