
BENTUK ALJABAR | DARA EDUCATION

BENTUK ALJABAR | DARA EDUCATION

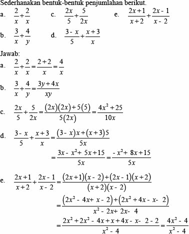
Penyelesaian Bentuk-bentuk Aljabar Matematika Kelas 7

√ Bentuk Aljabar - Unsur, Rumus, Operasi, Contoh Soal

Tutorial Cara Menyederhanakan Operasi Bentuk Aljabar Penjumlahan dan Pengurangan - YouTube

BENTUK ALJABAR | DARA EDUCATION
Nuradika: Pengenalan Bentuk dan Operasi Hitung Aljabar

Bentuk Aljabar Dan Operasi Hitung Bentuk Aljabar - Cilacap Klik

Mengenal Matematika Aljabar Dasar dan Bentuk – Bentuk Aljabar – 1729n

Bentuk Aljabar berikut yang merupakan Polinomial🤔 ?? | Sifat-sifat Polinomial - YouTube

Penyelesaian Bentuk-bentuk Aljabar Matematika Kelas 7

Aljabar | Bentuk Aljabar, Rumus Aljabar, dan Operasi Aljabar - Advernesia

BENTUK ALJABAR | DARA EDUCATION

Rumus Penjumlahan Aljabar dan Pengurangan Aljabar

sederhanakan bentuk-bentuk aljabar berikut. - Brainly.co.id

perhatikan bentuk aljabar berikut penjabaran bentuk aljabar yang tepat adalah tolong jawab sama - Brainly.co.id

Bentuk aljabar

Operasi pada Bentuk Aljabar-1

Tutorial Menentukan Suku, Koefisien, Variabel dan Konstanta Bentuk Aljabar - YouTube

Mengenal Bentuk Aljabar dan Unsurnya - RumusHitung.Com

Operasi Hitung Bentuk Aljabar (Penjumlahan, Pengurangan, Perkalian dan Pembagian Bentuk Aljabar) - Berpendidikan.Com

Pemfaktoran Bentuk Aljabar | idschool

Pembagian Bentuk Aljabar SMP kelas VIII

Mengenal Bentuk Aljabar, Beserta Operasinya - Kelas Pintar

Sederhanakan bentuk aljabar berikut. tentang pembagian. yang masih inget pelajaran mat. kelas 8, tolong jawabannya plis dari nomor

Bentuk aljabar

MATEMATIKA ITU MUDAH: MENGENAL BENTUK ALJABAR

sederhanakan bentuk bentuk aljabar berikut … yang dilingkari saja terimakasih - Brainly.co.id

Tolong jawab ya plisss . sederhanakan bentuk bentuk aljabar berikut?

Tutorial Maatematika Cara Menentukan Suku suku Sejenis Pada Bentuk Aljabar - YouTube

√ Sederhanakan bentuk-bentuk aljabar berikut (3b - bx) / (cx - 3c) - Jawab Aku

Sederhanakan Bentuk Aljabar Berikut Ini ! Yuk Belajar - Nusa Caraka

Rumah Belajar MENULISKAN BENTUK ALJABAR
Operasi Hitung Bentuk Aljabar Smp Kelas 7 Ppt - Seputar Bentuk

Sederhanakan bentuk-bentuk aljabar berikut - Brainly.co.id

Perkalian Aljabar, Perkalian Aljabar Berpangkat & Perkalian Bentuk Aljabar

ALJABAR (Contoh Soal - Operasi Hitung Bentuk Aljabar) - YouTube
Bentuk Aljabar | PDF

Ppt tugas ict (operasi bentuk aljabar)

Operasi Hitung Pecahan Bentuk Aljabar - ppt download

Cara Menyederhanakan Bentuk Aljabar (untuk VIII SMP) – danioyo

Operasi Hitung Bentuk Aljabar | idschool

Soal Sederhanakan bentuk aljabar berikut!

Sejernih Embun Pagi: LKS Bentuk Aljabar ( Kelas VII )

Menentukan Nilai Bentuk Aljabar Dengan Substitusi

Operasi Hitung Pecahan Aljabar Dan Contoh Soalnya

tuliskan suku suku sejenis dafi bentuk bentuk aljabar berikut ini! - Brainly.co.id
![]()
Aljabar

Menyederhanakan Aljabar | Matematika SMP - YouTube

Contoh Soal Menyederhanakan Bentuk Aljabar Kelas 7

ALJABAR. - ppt download

Sederhanakan bentuk-bentuk aljabar berikut.
![]()
Memahami Pembagian Bentuk Aljabar

Penjumlahan dan Pengurangan Pada Bentuk Aljabar

Pelajaran, Soal, & Rumus Bentuk Aljabar | Wardaya College

sederhanakan bentuk bentuk aljabar berikut :a.5x - 3xb. 9 + 4x - 1c. 4x - 8x + 12d.7- 2x - x + 5 e. - Brainly.co.id

Pengertian Bentuk Aljabar dan Operasi Hitung Pada Bentuk Aljabar - Berpendidikan.Com

Mengenal Matematika Aljabar Dasar dan Bentuk – Bentuk Aljabar – 1729n

Mengenal Bentuk Aljabar - YouTube
Tentukan Banyak Suku Pada Bentuk Aljabar Berikut Ini - Berbagi Bentuk Penting

Penyelesaian Bentuk-bentuk Aljabar Matematika Kelas 7

Aljabar dan Penerapannya - ppt download

Rumah Belajar MENULISKAN BENTUK ALJABAR

Pembagian Aljabar Dasar dan Pembagian Aljabar Berpangkat - Advernesia

Faktorkanlah bentuk bentuk aljabar berikut dengan lengkap. a.) (m+n)^2 - 4 b.) (x-y)^2 - 1 - Brainly.co.id

Bentuk Aljabar worksheet

Muhamad El Fahzan: Bentuk-Bentuk Aljabar

Kelas 7 - Aljabar - Ayo Kita Berlatih 3.3 - YouTube

Operasi aljabar smp

Bentuk Aljabar | Bingkai Matematika

sederhanakan bentuk bentuk aljabar berikut ini. Tolong diisi semua yah pake cara.Makasih…. - Brainly.co.id

3 OPERASI HITUNG BENTUK ALJABAR - PDF Free Download

Sederhanakan Bentuk Aljabar Berikut 5x 3x - Seputar Bentuk
Aljabar | Bentuk, Operasi Hitung, Contoh dan Penyelesaian

Cara Menyederhanakan Pecahan Bentuk Aljabar - Berpendidikan.Com

Hasil kali dari bentuk bentuk aljabar berikut a. 10×(2y-10) b. (x+5)×(5x-1) c. (7-2x)×(2x-7) - YouTube

Sederhanakan bentuk-bentuk aljabar berikut ini. a.5x -3(x…

sederhanakan bentuk-bentuk aljabar berikut 3/×+1+3/×-1 - Brainly.co.id

Kelas 07 smp matematika s1 siswa 2017 by P’e Thea - issuu

Bentuk Aljabar Materi Matematika kelas 7 SMP - Nusa Caraka

Pengenalan, Operasi, Contoh Soal-Bentuk Aljabar » reezuls

√ Aljabar: Unsur, Operasi Hitung, Pecahan Bentuk Ajabar

3 OPERASI HITUNG BENTUK ALJABAR - PDF Free Download

ALJABAR 1 PENGERTIAN BENTUK ALJABAR 3 APEL 3

Matematika Kelas 7: Mengenal Aljabar | Blog Teman Belajar

Pemfaktoran Bentuk Aljabar Lengkap dengan Contoh Soalnya - Berpendidikan.Com
Tentukan koefisien y dari bentuk aljabar di bawah ini. y^…

Operasi Perkalian pada Bentuk Aljabar

Aljabar (1) | Mengenal Bentuk Aljabar | Matematika Kelas 7 - YouTube

BENTUK AL-JABAR

Faktorkan Bentuk-bentuk Berikut! Jawaban TVRI 8 September 2020 SMP

√ 1. Tentukan hasil kali dari bentuk-bentuk aljabar berikut a. 10 × (2y − 10) = b. (x + 5) × (5x − 1) = c. (7 − 2x) × (2x − 7) = - Teras Edukasi

Faktorkan Bentuk Bentuk aljabar Berikut ini dengan Hukum distributif - Brainly.co.id

Soal Tentukan hasil operasi hitung dari bentuk-bentuk aljabar di bawah ini! Jika 10 x-5y-6z dik

Cara Mudah Dalam Pembagian Pecahan Bentuk Aljabar

Sederhanakan bentuk-bentuk aljabar berikut. 1.3b-bxcx - 303b-bx2.CX-3c3 33.+x+1x-14.xy+x + yX-Y4a4.5.3021236.(x+3) (x - 2)7.3x x

PERKALIAN DALAM BENTUK ALJABAR - ppt download

PPT - Aljabar dan Penerapannya PowerPoint Presentation, free download - ID:5780729

Bentuk Aljabar: Konsep Dasar Mengenai Variabel

Cara Menyelesaikan Operasi Perpangkatan pada Bentuk Aljabar | Matematika Kelas 7