
Integrate Sin^5(2x)cos(2x)dx

Integrate sin^2x

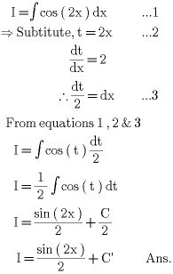
What Is The Integral of cos^2x? (“cos Square x”)

Integral of cos(2x) (substitution) - YouTube

Integral of cos^2 x - YouTube

Ex 7.9, 12 - Integrate cos^2 x from 0 to pi/2 - Integration Class 12

How to Integrate cos 2x - Step by Step Tutorial - YouTube
Integration Of X Cos 2x Dx

integral (cos^4 2x)(-2 sin 2x) dx - Brainly.co.id

Ex 7.3, 13 - Integrate cos 2x - cos 2a / cos x - cos a - Ex 7.3
Bagaimana cara menyelesaikan integral dari sin2x/1-cos2x dx - Quora

Integrate 16cos^2x

Hasil dari integral cos pangkat 3 2x sin2x dx - Brainly.co.id

How to integrate sin(2x)cos(2x) - YouTube

Integral Sin 2x Cos 2x Dx Adalah

Solved Find the indefinite integral. cos 2x dx Step 1 | Chegg.com

Ex 7.3, 20 - Integrate cos 2x / (cos x + sin x)^2 - NCERT Maths

KALKULUS II TEKNIK INTEGRASI - ppt download

Tentukan Integral dari (sin x + 2 cos x) dx

Integrate Cos(2x^2+7)dx
Berapakah integral dari 1+cos^2x/1-cos2x? - Quora

integral sin 4x cos 2x dx ? - Brainly.co.id

Remidi matematika Bab Integral

integrate cos(2x+1)dx - YouTube
![]()
Remidi matematika Bab Integral

integral (cos x + sin 2x)dx= - Brainly.co.id

Integral ( Cos 2x - Sin 2x )^2 dx = - YouTube
Solved Integral cos^5 2x dx = ? | Chegg.com

Integral Sin 2x Cos 2x Dx Adalah

Solving the Integral of cos(2x) - Video & Lesson Transcript | Study.com
hasil dari integral 3x cos 2x dx - Brainly.co.id

integral of cos(2x) substitution method — Steemit

Integrate 16 sin^2x cos^2x
![]()
DOC) INTEGRAL | Cenal Carpenter - Academia.edu
Integrate Cos 2x ~ 35+ images integral of cos 2x substitution method, how to integrate cos 2x, geneseo math 222 01 integration

Remidi matematika Bab Integral

Hasil Dari Integral 2 Sin^4 2x Cos 2x Dx Adalah

Nilai dari integral batas atas pi/3 batas bawah 0 2 cos^2 x sin 2x dx =… - YouTube

Integral with goniometric functions $\int(1+\cos^2x-\sin^2x)dx$ - Mathematics Stack Exchange

hasil dari integral cos 2x akar sin 2x dx= hal 13 - Brainly.co.id

Integration Of Cos(x^2)dx

Integrate 16 sin^2x cos^2x

Integral of (sinx cos2x) ❖ Calculus 1 ❖ Trig Integrals - YouTube
Evaluate the integral: ∫x cos 2x dx - Sarthaks eConnect | Largest Online Education Community

Hasil dari integral 2cos²x + cos 2x dx - Brainly.co.id

Solving the Integral of cos(2x) - Video & Lesson Transcript | Study.com

What Is The Integral of cos^2x? (“cos Square x”)
Integral Sin^2 X Cos^2x Dx

Integral of 1/cos^2(x) (substitution) - YouTube

Evaluate the following integral ∫(cos2x)^3/2 .cosx dx integral limit - askIITians
30++ Contoh Soal Integral Cos X Dx - Kumpulan Contoh Soal

Soal int_(0)^((pi)/(4))(cos 2x+sin 2x)dx=cdots

Solved Find the indefinite integral. cos 2x dx Step 1 | Chegg.com

integral (3x+1) cos 2x dxmohon bantuannya - Brainly.co.id

SOLVED:Evaluate the following integral; cos 2X dx Rewrite the given Integral In form that does not Involve power of cosine. Choose lhe correct answer below: dx + cos 2x dx 0Z +

Hasil integral cos 2x. sin 5x dx=….. - YouTube

Rumus Integral Trigonometri - RumusHitung.Com

Integral Sin 2x Cos 2x Dx Adalah
What is the integration of x cos^2 x dx? - Quora
![]()
Contoh contoh soal dan pembahasan integral

Rumus Integral Trigonometri - RumusHitung.Com

Soal =-(1)/(2)int(cos 2x)/(sin^(2)2x)dx

Excellent: Menentukan nilai Integral dari cos^3 x

O Mais Rápido Integral Dari Cos^2 X Dx

Hasil dari integral (cos 2x-2sin x)dx adalah.. integral (4 sin 5x coav3x dx adalah.. hasil dari integral akar 1-cos 2x dx adalah..

What Is The Integral of cos^2x? (“cos Square x”)

OK Google hasil dari integral cos 4 2x sin 2x DX = - Brainly.co.id

Integrate Cos 2x ~ 35+ images integral of cos 2x substitution method, how to integrate cos 2x, geneseo math 222 01 integration
Solved Find the indefinite integral. integral cos^3 2x sin^2 | Chegg.com

Integration Of X Cos 2x Dx
Berapakah integral dari sin^4x.cos^4x? - Quora

Integral Trigonometri UN Matematika SMA – Matematika Study Center

Integral of e^(-x)*cos(2x) - Integral example - YouTube

Integral of Cos 2x and Cos^2x - Integration of Cos Square x

Rumus Integral Trigonometri - RumusHitung.Com

KALKULUS II TEKNIK INTEGRASI - ppt download

Solution: What is the integral of cos 2x e^(sin 2x) dx?

integral 2x cos 1/2 x dx - Brainly.co.id
Integral Of Cos X Cos 2x

Integral cos pangkat 4 2x sin 2x dx ?

Solved Evaluate the integral. cos 2x dx o{x’cos 2x + 1x sin | Chegg.com

16+ Contoh Soal Integral Sin Cos - Kumpulan Contoh Soal

Misc 21 - Integarate 2 + sin 2x / 1 + cos 2x ex - Miscellaneous

Indefinite Integral (cos(2x))^2 - Power Reducing Substitution - YouTube

Remidi matematika Bab Integral
How to integrate cos^2x dx - Quora

Tercepat Hasil Dari Integral X^2 Sin 2x Dx

Integral Trigonometri UN Matematika SMA – Matematika Study Center

How do you integrate int sinx/sqrt(2-cos^2x) by trigonometric substitution? | Socratic

integral (cos x+sin 2x)dx dengan batas atas pi batas bawah 0 adalah - Brainly.co.id

KALKULUS II TEKNIK INTEGRASI - ppt download

Solved 1.) Integrate integral cos^2x sin^3x dx 2.) Integrate | Chegg.com
Evaluate the following definite integral: ∫ cos^2x dx, x ∈ [0, π/2] - Sarthaks eConnect | Largest Online Education Community

Answered: The suitable substitution to evaluate… | bartleby

1 cos2x
Integral Cos2x Cotx DX PDF | PDF

Find the Integrals of the Functions Cos 2x Cos 4x Cos 6x - Mathematics | Shaalaa.com