
Solve Trig Equation Cos2x Equals Sinx Q4 - YouTube

Mohon bantuannya kakak- kakak :') : Jika f(x) = cosx - sinx / cos2x maka f'(phi / 4) = ….A. - Brainly.co.id

Himpunan penyelesaian persamaan cos 2x-sin x = 0, untuk 0≤x≤2 π - YouTube

Solved sin x – cos 2x = 0 | Chegg.com

Persamaan trigonometri cos 2x = sin x (contoh soal 4) - YouTube

cos 2x = sin x, 0 ≤ x ≤ 2π - Mas Dayat

Integral Sin 2x Cos 2x Dx Adalah

cos2x+sinx=0 untuk 0°<x<360° - Brainly.co.id

Ex 7.3, 20 - Integrate cos 2x / (cos x + sin x)^2 - NCERT Maths
Nilai x memenuhi persamaan cos 2x - sin x = 0 untu…
Apa solusi umum dari sin^2(x) - cos(2x) = 2 - sin(2x) jika 3cosx tidak sama dengan 2sin x? - Quora

Tentukan interval x sehingga grafik f(x) = 2 sin x – cos 2x turun untuk 00 ≤ x ≤ 1800 - Mas Dayat

Tentukan Himpunan penyelesaian persamaan cos 2x + sin x = 0, untuk 0 ≤ x ≤ 2π - Brainly.co.id

Cos^2x+sinx=1

Integral of (sinx cos2x) ❖ Calculus 1 ❖ Trig Integrals - YouTube

How do you solve cos(2x)cos(x)+sin(2x)sin(x)=1 for all solutions? | Socratic

Soal Himpunan penyelesaian pertidaksamaan: (sin x)/(cos 2x)-sin x>cos x-(cos x)/(cos 2x) untuk

How do you integrate (sinx)(cosx)(cos2x)dx? | Socratic

120 soal dan pembahasan limit fungsi trigonometri
Berapakah integral dari [(e^sinx) (xcos^3x - sinx)]/cos^2x)? - Quora

Solve Cos^2x+sinx+1=0

Soal SOAL NOMOR Ukuran Soal: A A A Himpunan penvelesaiam persamaan cos 2x-sin x=0, untiek 0 ada

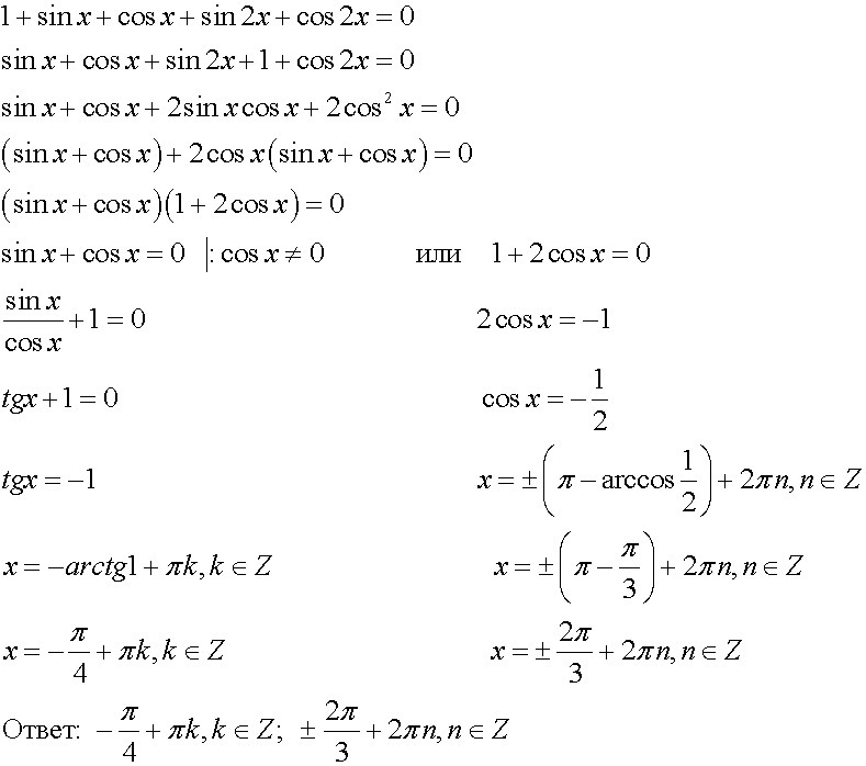
Soal soal trigonometri

Nilai minimum f(x) = cos 2x - 2 sin x untuk 0° ≤ x ≤ 360° adalah …. - Mas Dayat

Himpunan penyelesaian persamaan cos 2x + sin x = 0 untuk 0 x 2π adalah….. - Brainly.co.id
Solved (sin x + cos x)^2/sin^2x - cos^2x = sin2x - cos^2 | Chegg.com

Limit of Trig Function with cos2x /(sinx - cosx) - YouTube

Jika sin x = 3/5, hitunglah nilai sin 2x dibagi (1 + cos 2x)! - Matematika SMA
Nilai x memenuhi persamaan cos 2x-sin x = 0 untuk …

Soal Nilai x yang memenuhi persamaan cos 2x-sin x=0 untuk 0^(@) adalah
How do I solve this equation:[math] sin2x−cos2x=1+sinx−cosx [/math] for [math]x∈[−π,π][/math]? - Quora

Tentukan interval x sehingga grafik f(x) = 2 sin x – cos 2x naik untuk 0° ≤ x ≤ 180°! - Mas Dayat

Jika f(x) = cos x - sin x / cos 2x maka f'(1/4π) = …. - Brainly.co.id

Sin x = 1/4. Nilai dari cos2x = … - Matematika SMA
![]()
Soal soal trigonometri

Lim cos2x / cosx - sinx dengan x mendekati phi/4 - YouTube
Solved (8) sin3x-sinx = 0 (9) sin 50 1 (10) sinx cos2x-cosx | Chegg.com
Mohon bantuan caranya: lim cos2x / cosx - sinx dengan x mendekati phi/4 caranya bagaimana?…. Question from @ertafajarutari

cos 2x - 5 sin x + 2 = 0 untuk 0 ≤ x ≤ 2π - Mas Dayat

Derivative Of Sinx Cos^2x

How to integrate ∫(sinx−cos2x)/(1-sinx)dx pls help me solve - askIITians

tentukan himpunan penyelesaian dari persamaan trigonometri cos 2x=sin x untuk 0° < x < 360° - Brainly.co.id

Soal Himpunan penyelesaian dari cos 2x-3sin x-2=0 untuk 0 adalah dots.

2 sinx cosx - cos2x = 0 IMPORTANT Linear Trig Equation - YouTube
Bagaimana cara mencari nilai sin(x) jika x adalah sudut lancip dan cos(2x) =119/169 - Quora

120 soal dan pembahasan limit fungsi trigonometri

Solved 1. Prove that cos 2x = 2 cos x – 1. 2. Prove that | Chegg.com

What Is The Value Of 1+cos2x

Soal Jika x_(1) dan x_(2) memenuhi sin 2x cos x-2sin^(3)x=6sin x+cos 2x-3 dengan 0 dan x_(1)>x_

Lim cos x - sin x / cos 2x dengan x mendekati phi/4 adalah… - Brainly.co.id

Solve :- rn cosx + sinx = cos2x + sin2x - Maths - Trigonometric Functions - 5510899 | Meritnation.com
Mengingat bahwa sin x=3/4, di mana x adalah sudut tumpul, dapatkah Anda menemukan nilai cos2x? - Quora

Trigonometry: solve cos (2x) + 3 sin x = 2 - YouTube
Prove the identity: [sin x + sin 2x]/[1 + cos x + cos 2x] = tan x - Sarthaks eConnect | Largest Online Education Community

Soal Himpunan penyelesaian persamaan cos 2x+sin x-1=0 untuk 0 adalah dots a. {0,(pi)/(6),(5pi)/

Solved Verify the identity cos 2x cos x- sin x 1 + sin 2x | Chegg.com

Answered: 2 sin 4x cos x LHS - 4(sin x cos x)… | bartleby

Limit x mendekati phi/4 cos x - sinx dibagi cos2x - Brainly.co.id

Integration Of Sin X Cos^2x

Himpunan penyelesaian persamaan cos 2x-sin x = 0, untuk 0≤x≤2 π - YouTube

Tentukan hasil dari Cos 2 X per Sin X kurang cos X limit x mendekati phi per 4 - Brainly.co.id
![]()
Choose the correct answersint(cos2x)/((sinx+cosx)^2)dxis equal(A) (-1)/(sinx+cosx)+C (B) log|sinx+cosx|+CC) log|sinx-cosx|+C (D) 1/((sinx+cosx)^2)

Answered: find sin x cos? x dx 75. 76. sin 2x sin… | bartleby
![]()
If cos(pi/4-x)cos2x+sinxsin2xsecx=cos x sin 2x sec x+cos(pi/4+x)cos 2x then possible value of sec x is

2 Sin X Cos X = Sin 2X - adeotts

Ex 7.3, 18 - Integrate cos 2x + 2 sin2 x / cos2 x dx - Ex 7.3

Integral of sin(x)cos^2(x) & Integral of sin^2(x)cos(x) (substitution) - YouTube
Jika f(x) = cos x - sin x / cos 2x maka f'(1/4π) = …. - Brainly.co.id

Solved Prove below identities sinx-sinx cos2x=sin3x | Chegg.com
SOLUTION: hello once again…..Could someone please establish this identity for me ? sin^3xcos^2x =sinx(cos^2x-cos^4x) thank you in advance !!

Prove that sin3x + sin 2x â sinx = 4 sinx cos x/2 cos3x/2 - Maths - Trigonometric Functions - 434867 | Meritnation.com
![If <code>y=sinx.cos(2x)</code> then prove that <code>(dy)/(dx)=y[cotx-2tan2x]</code> - YouTube](https://i0.wp.com/i.ytimg.com/vi/vufREWEBo2E/maxresdefault.jpg)
If y=sinx.cos(2x) then prove that (dy)/(dx)=y[cotx-2tan2x] - YouTube

tolong bantu jika x1 dan x2 adalah solusi dari 2 sin x . cos2x / cos x . sin x - 5 tan x + 5 =0 . - Brainly.co.id
Let f(x) = cos x & sin x & cos x cos 2x & sin 2x & 2cos 2x cos 3x & sin 3x & 3cos 3x Then f'(pi /2) =

cos(x)/sin(x)
Solved 4. Express g(x) = sin x + cos 2x in terms of x-π (a) | Chegg.com

Solve the following DE y (4) + 5y"' + 4y = sin x + cos2x Good… - HomeworkLib
![Solved] Prove: | Course Hero](https://i1.wp.com/www.coursehero.com/qa/attachment/18847055/ )
Solved] Prove: | Course Hero
Nilai x yang memenuhi persamaan cos2x-sinx= 0 untuk 0<x<3…

Cos^2x+sinx+1=0

Trigonometric Identity (sinx + sin2x)/(1 + cosx + cos2x) = tanx with Double Angle Expressions - YouTube

Nilai x yang memenuhi persamaan cos2x-sinx= 0 untuk 0<x<3…
lim x menuju π/4 cos 2x/cos x - sin x - Brainly.co.id

यदि y=sinx.cos2x तो सिद्ध कीजिए कि (dy)/(dx)=y(cotx-2tan2x)

Hp dari Cos 2x= sin x untuk 0< x < π adalahTolong bantu saya ka kak

Tentukan Integral dari (sin x + 2 cos x) dx

Solved Compute the derivative d/dx sin x/cos 2x. d/dx sin | Chegg.com

Graph and Find Number of Roots sinx-cos2x-1=0,0°≤x≤360° Trigonometric Equation - YouTube
What is the integral of (sinx.cos^2x)? - Quora

Lim mendekati π/4 cos 2x / sinx - cos Bantuin ya kakk :v - Brainly.co.id

TRIGONOMETRI-11 SMA – Bimbel Online Gulam Halim

sinX=cos2X - Math Central

SOLVED:Find the general solution of y 24)= 2 sin2x 4 cos 2x 5 4 ) =4c0s31 - B sin3x 1 B " =4cos2x ~B sin 21" 1 cos 2x" 2 C. ) =

Himpunan penyelesaian persamaan 4 sin x = 1 + 2 co…
Apabila sin x=4/5, maka nilai cos 2x adalah . . . .

If 3 cosx + 2 cos3x = cosy 3 sinx +2 sin3x = siny then value of cos 2x is - Maths - Trigonometric Functions - 5639888 | Meritnation.com
- limit x mendekati π/4 : (sin x - cos x) per (1 - 2 sin x cos x) 2. limit x mendekati 3 : (sin(√x+…. Question from @ditajulia

PERSAMAAN TRIGONOMETRI. - ppt download
Ecuatii Si Inecuatii Trigonometrice | PDF