![]()
Pengertian Kode ASCII: Pengertian dan fungsi Kode ASCII

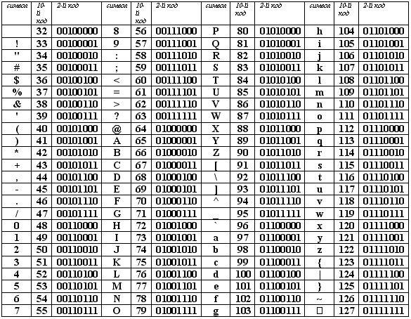
Daftar Kode ASCII | Komputasi | Solusi Terapan

Kode ASCII dan Tabel Simbol Binary Lengkap - Info Komputer

Pemrograman : Kode ASCII dan penggunaannya (+contoh Program) | 211093awan
![]()
Tabel kode ascii lengkap

Daftar Kode Ascii Lengkap

Kode ASCII dan Tabel Simbol Binary Lengkap - Info Komputer

Kode ascii pada keyboard | puspa rizky trisnaningtyas

Kode Ascii Lengkap Pdf

Kumpulan Kode ASCII Semua Angka, Huruf, Simbol dan Tanda Baca - Anak IT

Pengertian Lengkap Kode ASCII - Teknik Informatika

Kode Ascii Lengkap

ASCII - Wikipedia bahasa Indonesia, ensiklopedia bebas

PASCAL : tentang biner, kode & karakter ascii
![Kode Ascii - [DOC Document]](https://i3.wp.com/reader012.docslide.net/reader012/html5/20171130/56d6bd071a28ab30168c5a74/bg2.png)
Kode Ascii - [DOC Document]

Kode ASCII dan Penggunaannya-Endang Kurniawan

Mengenal ASCII | Another Satria’s Project

jelaskan hasil penyandian kode ASCII dari keyword berikut A.pemrograman pascal B.SMK BISA - Brainly.co.id

Algoritma Hill Cipher Untuk Menangani 256 Karakter ASCII Menggunakan Java - Kita Informatika
![]()
Kode Ascii Lengkap Pdf
Bagaimana cara menulis nama lengkap di ASCII menggunakan kode 8-bit dengan bit paling kiri selalu 0 - Quora

Detail Pengertian Ascii Dan Tabel Kode Ascii Ilianneil Peatix

PASCAL : tentang biner, kode & karakter ascii

Pengertian Kode ASCII Dan Cara Menggunakannya Lengkap

Kode ASCII – Wawan Laksito YS
Rumus CHAR Di Excel Untuk Menampilkan Symbol Atau Karakter - Adhe-Pradiptha
ASCII - FAZRUL MUTTAQIN HAMZAH - UNIVERSITAS NEGERI GORONTALO

Pengertian Kode ASCII Dan Cara Menggunakannya Lengkap

Kode ASCII dan Penggunaannya | Endang Kurniawan

TABLE ASCII DAN BCD(Binary Coded Decimal): ASCII DAN BCD (Binary Coded Decimal)
Ascii Dan Representasi Data | PDF

Break The Code | ICT Learning

√Kode ASCII lengkap - Cara dan Tutorial

Table Code Ascii Lengkap Pdf

MEMORI DAN KODE ASCII. - ppt download

TEKNIK DIGITAL: KODE ASCII

Apa Itu ASCII: Sejarah, Contoh Kode - Monitor Teknologi
Makalah IF3058 Analisis Kriptografi dalam penentuan Cipherteks kode ASCII melalui metode Aljabar Boolean

Contoh Kode Ascii Lengkap
Ascii | PDF

√Kode ASCII lengkap - Cara dan Tutorial
Apa itu kode ASCII, di mana digunakan, dan mengapa? - Quora

Pemrograman : Kode ASCII dan penggunaannya (+contoh Program) | 211093awan

berapakah nilai binary menurut standar kode ascii 7 bit untuk kata bangsa - Brainly.co.id

Formula excel untuk ascii code | Komputer SEO

Formula excel untuk ascii code | Komputer SEO

Daftar Kode ASCII

Pengertian dan Fungsi Kode ASCII - Zona Pemrograman

Kode ansi

Menyisipkan simbol dan karakter berbasis ASCII atau Unicode Latin
Pengertian dan Fungsi Kode ASCII (Lengkap) - Materi Dosen

Tabel Kode Ascii

Tabel ASCII Code | Komputer SEO
![KEY ASCII - [PDF Document]](https://i3.wp.com/demo.fdokumen.com/img/378x509/reader018/reader/2020010305/55cf9790550346d033925195/r-1.jpg)
KEY ASCII - [PDF Document]
Key Ascii | PDF

TABLE ASCII DAN BCD(Binary Coded Decimal): ASCII DAN BCD (Binary Coded Decimal)

Bilangan & Kode Biner

Sistem Kode. - ppt download

Kode Ascii Tugas Matematika Komputer

ASCII | cyber658

TEKNIK DIGITAL BAB II Sistem Bilangan dan Sistem

Tutorial VB.Net #14: Mencari Kode ASCII - priacoding
![KEY ASCII - [PDF Document]](https://i3.wp.com/static.fdokumen.com/img/1200x630/reader018/reader/2020010305/55cf9790550346d033925195/r-1.jpg?t=1631936496)
KEY ASCII - [PDF Document]

Fungsi Char di Power Apps - Power Apps | Microsoft Docs

A | Draft: Pengertian Kode ASCII Beserta Contoh Program Menggunakan Bahasa C
Apa itu halo dalam biner? - Quora
![]()
Kode ansi

Cara Membuat Kode ASCII Di Notepad
ASCII | PDF

Kode ansi
![Kode ASCII - [DOC Document]](https://i1.wp.com/reader012.staticloud.net/reader012/html5/20190426/55b56dcebb61ebe5328b4600/bg1.png)
Kode ASCII - [DOC Document]
Pengertian dan Fungsi Kode ASCII (Lengkap) - Materi Dosen
Kumpulan Kode ASCII Semua Angka, Huruf, Simbol dan Tanda Baca - Anak IT
Kode Ascii | PDF
![ASCII | [ GURKIY ]](https://i0.wp.com/asanisembiring.files.wordpress.com/2012/03/ascii.gif)
ASCII | [ GURKIY ]

Singkat Mengenai ASCII Code - Revolution Information
![]()
Kode ASCII

- Buat Folder Tersembunyi Dengan Kode ASCII

Pencegahan Serangan SQL Injection dengan Algoritma Kode ASCII
![TEKS, GAMBAR & GRAFIK - Teks adalah data dalam bentuk karakter. - Teks dalam hal ini adalah kode ASCII - [PDF Document]](https://i0.wp.com/static.fdokumen.com/img/1200x630/reader018/reader/2020021614/5cecc9c288c993031a8dc683/r-1.jpg?t=1633066713)
TEKS, GAMBAR & GRAFIK - Teks adalah data dalam bentuk karakter. - Teks dalam hal ini adalah kode ASCII - [PDF Document]
![Code Ascii - [PDF Document]](https://i1.wp.com/demo.vdocuments.net/img/378x509/reader025/reader/2021050504/557202a84979599169a3e7aa/r-2.jpg)
Code Ascii - [PDF Document]
Kode Ascii Tugas Matematika Komputer | PDF

Tabel ASCII Code | Komputer SEO
Kumpulan Kode ASCII Semua Angka, Huruf, Simbol dan Tanda Baca - Anak IT
Program Konversi Nama Menjadi Kode Biner ASCII Menggunakan Bahasa C Dutormasi Dunia Tutorial dan Informasi

Dunia Elektro: Pengertian dan Fungsi (ASCII) American Standard Code for Information Interchange
![]()
Sistem Bilangan (modul 1)

Tabel ASCII Code | Komputer SEO

3 Cara Algoritma Konversi Biner Ke ASCII Dengan Javascript - Kopi Coding
![]()
√Kode ASCII lengkap - Cara dan Tutorial
ASCII Converter - Aplikasi di Google Play

Kode ansi

Pengertian dan Fungsi Kode ASCII

Program konversi character menjadi kode ASCII - ayo belajar sama - sama …

Tutorial VB.Net #14: Mencari Kode ASCII - priacoding

Pengertian Kode ASCII Dan Cara Menggunakannya Lengkap

√Kode ASCII lengkap - Cara dan Tutorial
Implementasi Cipher Viginere pada kode ASCII dengan Memanfaatkan Digit Desimal Bilangan Euler Kuswari Hernawati Jurusan Pendidi

Kode ASCII Auto Cutter dan Open Drawer Printer - Bee.id
![API _ Event Keyboard - [DOC Document]](https://i2.wp.com/static.fdokumen.com/img/1200x630/reader012/image/20180826/5571fb32497959916994365e.png?t=1631182800)
API _ Event Keyboard - [DOC Document]