Bagaimana cara mengubah ‘log 3 ke basis 4’ menjadi ‘log akar kuadrat dari 3 ke basis 2’ - Quora

nilai ^3 log 4 = a dan ^4 log 5 = b. maka nilai ^5 log 9 adalah - Brainly.co.id

2 log 3=p maka 4 log 3= - Brainly.co.id

Soal 1quad3+log (1)/(2)+log (2)/(3)+log (3)/(4)+log (4)/(5)+cdots+log (9999)/(10000)=

3^(log,3 5 - log,3 4) - YouTube
![2log[3,x+4]-log[3,9]=2 - YouTube](https://i2.wp.com/i.ytimg.com/vi/2Jr_3txGkAM/hqdefault.jpg)
2log[3,x+4]-log[3,9]=2 - YouTube

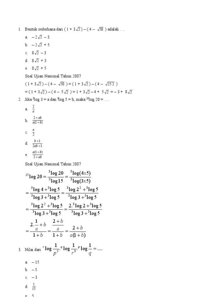
Soal Jika ^(5)log 4=a dan ^(4)log 3=b, tentukan nilai dari ^(3)log 20.

jika 3 log 4 = x maka 64 log 81 = - Brainly.co.id
Jika a = log 20 basis 3, b = log 15 basis 4, c= log 12 basis 5, maka berapakah abc - a - b - c? - Quora
Sifat Sifat Logaritma + Operasi Aljabar Bentuk Logaritma | PDF

Contoh soal dan_pembahasan_persamaan_logaritma

Soal Diketahui ^(2)log 5=x dan ^(2)log 3=y. Nilai ^(2)log 300^((3)/(4))=dots

2/3log (x + 2) + 2/3log (4 - x) > 2/3log (3 – 2x) - Mas Dayat

Jika 3’log 5 = p dan 5’log 4 = q, maka 4’log15 = - YouTube

2 log 3•4 log 8•3 log 4

minta tolong yaa. terima kasih - Brainly.co.id

Logaritma
Phương Trình Logarithm | PDF

L O G A R I T M A PEMBIMBING GISOESILO ABUDI, S.Pd. - ppt download

2 3 243 log - = 5 3 4 16 log = 125 27 2 1 3 5 log = 5

Rumus atau Definisi Logaritma (Log) Beserta Contoh Soal dan Jawaban

Contoh Soal dan Penyelesaian-Logaritma SMA Kelas 10

4 Log 81 * 3 Log 32

Soal jika 5 log 4 = a dan 4 log 3 = b tentukanlah nilai dari 3 log 20 …

2log 1/8 + 2log 3 . 9log 16 – 1/9log 3 - Mas Dayat
![]()
logaritma | Pramesti Indraningsih - Academia.edu
Media Pembelajaran Mandiri: Matematika SMA : Logaritma

jika ²log 3 = a, tentukanlah nilai dari ³log 4 + akar 27 log akar 2 + 1/³log 1/4 - Brainly.co.id

log)81/8-(2log)3/2+(3log)2/3+(log)3/4=0` - YouTube

Sifat Logaritma LENGKAP Beserta Contoh Soal dan Pembahasan

Logaritma

Logaritma: Pengertian, Rumus, Sifat, Contoh Soal dan Pembahasan | roemahijau
![]()
Modul Matematika SMA dan Soal Latihan 08 Latihan 04

Section Find each logarithm. a. log5 25 b. log3 81 c. log3 ⅓ - ppt download

Soal Jika a memenuhi persamaan 2log 2x+3log 3x=4log 4x^(2) maka alog3=

log4 16 34) log3 27 125 3 32) 35) log 27 log 3 log49 log3 2
![]()
DOC) Import-Pembahasan-Eksponen-logaritma | Rio Gautama - Academia.edu

Contoh Soal Dan Pempelajarian Logaritma Sma
Import Pembahasan Eksponen Logaritma | PDF

Logaritma | Matematika And Me (M^2)
If log 2 = a, and log 3 = b, then what is log 14.4 in terms of a and b? - Quora

jika diketahui log 3 = a dan log 4 = b dan log 5 = c tentukan nilai dari 12 log 75 - Brainly.co.id

Log 72 Adalah
![Bentuk pangkat, akar, dan logaritma(pertemuan keempat) - [DOCX Document]](https://i0.wp.com/demo.fdokumen.com/img/378x509/reader024/reader/2021022115/55b88e35bb61ebf62a8b4686/r-2.jpg)
Bentuk pangkat, akar, dan logaritma(pertemuan keempat) - [DOCX Document]

- Hasil dari ‘log 28-log 4+log 35-log 5 adalah A -1 C. 1 E 3 B. O D 2
![]()
A Logaritma sebagai Invers da… | See how to solve it at QANDA

- soal soal logaritma
Logaritma - Materi Lengkap Matematika

Soal Latihan dan Pembahasan UN Matematika SMK 2017

Solved 3 4. log(x) log(x)2 5. 2log(x) log(x2) + log(2/x) + | Chegg.com

log 3 A

LOGARITMA KEGUNAAN Menentukan nilai pangkat dalam suatu persamaan
![Soal Jawab Logaritma - [PDF Document]](https://i0.wp.com/reader018.staticloud.net/reader018/html5/20191030/5571fc674979599169972f39/bg1.png)
Soal Jawab Logaritma - [PDF Document]

Sifat - sifat logaritma - Ilmu Hitung
Latihan Soal Dan Pembahasan Logaritma SMA Kelas X | PDF
![]()
4 Cara untuk Menggunakan Tabel Logaritma - wikiHow

Diketahui 3 log 2=a dan 5 log 3=b. Nilai 6 log 40 = - YouTube
Sebanyak 690 mg HCOOH dan 566 mg HCOONa dilarutkan…

2枚目のlogの積分のところでなぜ(x−4)log(4−x)と前と後ろでxと4が逆に - Clear

Mencari Nilai Dari 4 2log3 - Matematika SMA

Soal dan Pembahasan Matematika Logaritma (1-6) | Istana Mengajar

3 log 36)² - (3 log 4)²dibagi 3 log√12 - Brainly.co.id

find x if log x 4 log x 4 log3 - Mathematics - TopperLearning.com | w2pzr2mm
![]()
DOC) Contoh Soal dan Pembahasan Persamaan dan Fungsi Logaritma | azmha budhy - Academia.edu

3.4 – Solving Exponential and Logarithmic Equations Ch. 3 – Exponential and Logarithmic Functions. - ppt download
![]()
Soal Pembahasan Eksponen dan Logaritma

Tolong bantu kak bg🙏🙏🙏 - Clearnote
- Diketahui Plog 2 =8 dan qlog 8=4. Jika s=p4 dan t=q2, maka nilai tlog s=⋯ A. 1/4 B. 1/3 C. 2/3 D. 3/2 E. 3 2. Diketahui a

Ex 7.11, 21 (MCQ) - Value of log (4 + 3 sin x / 4 + 3 cos x) dx

Soal Nilai (1)/(2)+(^(3)log 8)(^(2)log 3+^(4)log 5)-4^(9)log 45 adalah
![]()
log)_3(1+1/3)+(log)_3(1+1/4)+(log)_3(1+1/5)+ddot+(log)_3(1+1/(242)) when simplified has the value equal to: 2 (b) 4 (c) 6 (d) (log)_2 16

Спростити log2(3)*log3(4)*log4(5)*log5(6)*log6(7)*log7(8) — Знания.online

Modul Matematika Pages 1 - 50 - Flip PDF Download | FlipHTML5

Logaritma: Pengertian, Bentuk dan Sifat Logaritma - Tambah Pinter
![]()
4 Cara untuk Menggunakan Tabel Logaritma - wikiHow
Logaritma dan Sifat-sifatnya

if $\sqrt{\log_4(\log_3(\log_2(x^2-2x+a)))}$ is defined for all x={set of real numbers} then find the valid interval for “a”. - Mathematics Stack Exchange

Nilai Dari 4 Log 81 * 3 Log 32
41log83log36⋅6log27+2log16=…
Nilai dari 4log 81. 3log 32 adalah…. Question from @andidarmawan20
![Clearnote Indonesia on Twitter: “PERSAMAAN LOGARITMA 👇 [PAS] Persamaan Logaritma Kelas 10 https://t.co/9hWyuufr1S… “](https://i0.wp.com/pbs.twimg.com/media/Eb_93rNUYAA7al0.jpg)
Clearnote Indonesia on Twitter: “PERSAMAAN LOGARITMA 👇 [PAS] Persamaan Logaritma Kelas 10 https://t.co/9hWyuufr1S … "

- 3 log 55 - 3 log 6 2. 5 log 3 - 3 log 96 3. 5 log 50 - 5 log 4 + 5 log 2 4. 4 log 64 - 6 log 625 - 3 log 27 Pakai cara ya! Tolong
![]()
Interval penyelesaian dar… | Lihat cara penyelesaian di QANDA

Alg 2 3-5 Find without using a calculator 1. log5 125 2. log 3 1/27 3

Sederhanakan bentuk logaritma berikut! √3log 7 - 3log 49 + 7log 81 - Mas Dayat

2 log 4 + 2 log 12 - 2 log 6 = - YouTube
Logaritma | PDF

Logaritma
Solved solve the equation. 10) 2 log3 (2x 5) log3 x -4 11) | Chegg.com

Adi Harsono Log

log)_2 3)dot((log)_3 4)dot((log)_4 5)(log)_n(n+1)=10. Find n=?

Log 3 base 9 log 9 base 9 log 27 base 9 . n. Find the sum of this series.? | EduRev CAT Question

GATE & ESE - Lesson 4 : Latihan Soal Logaritma (3) Offered by Unacademy

Latihan Soal Logaritma -Part 1 worksheet
If 1, log9 (3^1 – x + 2), log3 [4 × 3^x – 1] are in AP. - Sarthaks eConnect | Largest Online Education Community
Soal Dan Pembahasan Un Eksponen Dan Logaritma - Kumpulan Contoh Surat dan Soal Terlengkap

Soal ((^(4)log 3)(^(4)log 6))/((^(4)log 9)(^(8)log 2)+(^(4)log 9)(^(8)log 3)) sama dengan ….
Jika [matematika]2^x*3^{x+4}=7^x[/math], maka x dalam bentuk logaritma dapat ditulis sebagai apa? - Quora
![SOLUSI - FOKUS BELAJAR – Transformation |Husein Tampomas, Solusi TO UN Matematika, 2016 Solusi: [C] - [PDF Document]
SOLUSI - FOKUS BELAJAR – [Transformation |Husein Tampomas, Solusi TO UN Matematika, 2016 Solusi: [C] - [PDF Document]
Daftar Isi Halaman Bab 1. Pengantar Evaluasi Log 1.1 Apa yang diperlukan industri perminyakan agar sukses dalam penemuan minyak